3059879594

OPPT/UPIK - Wacht auf

Sichtweise
Täglich Aktuelles, über 5'000 Berichte
Thematik, Mensch, Person, Weltgeschehen
Wähle Seite
💥=News
Direkt zum Seiteninhalt

OPPT/UPIK

BANKEN & "REGIERUNGEN"
WELTWEIT
ZWANGSVOLLSTRECKT

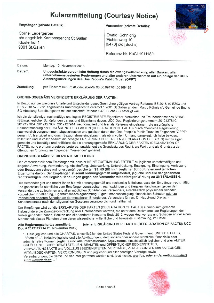
Der One People's Public Trust (OPPT) verkündete die Zwangsvollstreckung der Banken und "Regierungen" weltweit am 25. Dezember 2012. Dies war das Resultat einer Untersuchung zu dem massiven Betrug, der das gesamte System durchdrang:

Was ist passiert?
Der OPPT unterstellte den Weltbanken und Weltregierungen:
1. dass sie durch irreführende Handlungen und Praktiken das Volk seit Hunderten von Jahren bestohlen hatten, und;
2. dass nichts zwischen dem Schöpfer und jeder seiner Schöpfungen steht,
und gab gebührend Möglichkeit, beide Aussagen zu widerlegen. Sie konnten und wollten es nicht. Um dies vollständig zu
verstehen, lesen Sie bitte die Erklärung der Fakten auf:

Es folgen zwei Auszüge:

Alle Regierungschartas annulliert:
(siehe: ERKLÄRUNG DER FAKTEN (DFECLARATION OF FACTS): UCC Doc # 2012127914 28. November 2012)
"...Dass jegliche und alle CHARTAS, einschließlich der United States Federal Government, UNITED STATES, "State of.
", inklusive jeglicher und aller Abkürzungen, idem sonans oder andere rechtliche, finanzielle oder administrative Formen,
jegliche und alle internationale Äquivalente, einschließlich jeglicher und aller ÄMTER und ÖFFENTLICHER
DIENSTSTELLEN, BEAMTEN und ÖFFENTLICHER BEDIENSTETEN, VERWALTUNGSAKTE und
VOLZUGSBEDIENSTETE, VERTRÄGE, VERFASSUNGEN und SATZUNGEN, MITGLIEDSCHAFTEN,
VERORDNUNGEN und jegliche und alle sonstige Verträge sowie Vereinbarungen, die damit
und darunter getroffen
worden sind, jetzt nichtig, wertlos, oder anderweitig annulliert sind, unwiderlegt;... "

Bankchartas annulliert:
(siehe: TRUE BILL: WA DC UCC Doc # 2012114776 24. Oktober 2012)
"Erklärt und unwiderruflich gelöscht; jegliche und alle Chartas der Mitglieder der Bank für Internationalen
Zahlungsausgleich (BIZ), aller Mitglieder und Nutznießer, einschließlich aller Begünstigter, einschließlich jeglicher
Körperschaften, die private Geldsysteme besitzen, betreiben, unterstützen, begünstigen und die sich Rechnungsstellung,
Geldeintreibung, Vollstreckungsmaßnahmen bedienen, um SKLAVENSYSTEME zu unterhalten ... die rechtmäßige
Werte mithilfe unrechtmäßiger Befugnis beschlagnahmen... "

Unterlassungsanordnungen:

Es wird auf die Unterlassungsanordnung (DECLARATION AND ORDER) UCC Doc #
2012096074 vom 9. September 2012,
welche durch COMMERCIAL BILL UCC Doc. Nr. 2012114586 und TRUE BILL UCC Doc.
No.2012 114776 ordnungsgemäß
bestätigt und ratifiziert wurde, hingewiesen:
Freiwillige des Militärs ... "zur Verhaftung und Verwahrung jeglicher und aller Körperschaften, ihrer Beauftragter,
Beamten und anderer Akteure, ungeachtet des gewählten Domizils (domicil), die private Geldsysteme besitzen,
betreiben, unterstützen, begünstigen und die sich Rechnungsstellung, Geldeintreibung, Vollstreckungsmaßnahmen
bedienen, um SKLAVENSYSTEME gegen Menschen zu betreiben... ", und
"Wiederinbesitznahme aller privaten
Geldsysteme, Nachverfolgungssysteme, Transferierungssysteme, Fakturierungssysteme, Inkassoeinrichtungen
Vollstreckungssysteme, welche SKLAVENSYSTEME betreiben... "
"...Alle Seinswesen (BEings) des Schöpfers sind verpflichtet, unverzüglich allen hier identifizierten öffentlichen
Bediensteten und Beamten bei Implementierung, Schutz, Erhaltung und Durchführung dieser Anordnung (ORDER) mit
allen Mitteln des Schöpfers und Schöpfungen zu unterstützen, durch, mit und in ihrer vollständigen persönlichen
Haftung... "
Diese Dokumentnummern können in der Washington DC UCC Registry recherchiert werden:

Was bedeutet das für Sie?

Sind Sie einer zwangsvollstreckten Organisation gegenüber "verschuldet"...? z.B. Hypothek, Kreditkarte, Autokredit?
OPPT hat alle Hierarchien zwangsvollstreckt. Niemand steht zwischen Ihnen und Ihrem Schöpfer... nicht einmal eine
"Regierung".
Da eine UNTERLASSUNG-SANORDNUNG gegen diese Organisationen existiert, steht es Ihnen frei, allen Personen, die
vermeintlich im Namen einer zwangsvollstreckten Bank oder “Regierung” auftreten, mithilfe einer Kulanzmitteilung (engl.:
Courtesy Notice) Ihre Bedingungen für weitere Kontakte mit Ihnen zu unterbreiten.

Was bedeutet dies für Banken & "Regierungen"?

Alle SEINSwesen handeln nun als Einzelindividuen, ohne das Sicherheitsnetz einer zwangsvollstreckten Organisationen, in
voller Eigenverantwortung und Haftung für JEDE IHRER HANDLUNGEN nach allgemeinem Recht, geschützt und bewahrt
durch öffentliche Ordnung UCC 1-103, und universelles Recht, das herrschende Recht, durch die UCC-Aktenregistrierungen
des OPPT festgelegt. (siehe. WA DC UCC Ref Doc # 2012113593)
Sollte ein Mensch Handlungen im Namen einer zwangsvollstreckten Bank oder “Regierung” vornehmen und dadurch, wie
hier beschrieben, einem anderen Menschen Schaden zufügen, so ist dieser in seiner unbegrenzten Eigenschaft als
Einzelperson voll verantwortlich und absolut haftbar. Solche Handlungen können zum Erhalt einer Kulanzmitteilung führen.

Kulanzmitteilung

Die Kulanzmitteilung enthält die Informationen dieses Flugblattes und bietet einem
Gegenüber Bedingungen und
Konditionen für zukünftige Interaktionen.
Dadurch, dass Banken und "Regierungen" weltweit zwangsvollstreckt worden sind, wurden folglich Satzungen,
Verordnungen, Gesetzbücher, Gerichte, Anordnungen, Verwaltungsakte, usw. auch zwangsvollstreckt. Demgemäß, in
Ermangelung eines rechtmäßig bindenden Vertrages zwischen Einzelindividuen, existiert nichts, was zur Leistung
verpflichten könnte.
Die Kulanzmitteilung bietet einem Menschen in einer zwangsvollstreckten Organisation neue Bedingungen zur Annahme an.
Die Annahme dieser Bedingungen ist klar definiert.
Menschen auf der ganzen Welt laden sich jetzt Kulanzmitteilung herunter und versenden diese. Allein in den ersten 2 Tagen
nach Veröffentlichung Anfang Februar 2013 wurde die Kulanzmitteilung 64.000 Mal heruntergeladen. Quelle: www.opptin.
com

Was ist der UCC - Und auf wen ist es anwendbar?

Der Uniform Commercial Code (UCC) ist die "Bibel" des Handels und wird weltweit eingesetzt, auch wenn nicht immer
offensichtlich. Der UCC wird auf juristischen Fakultäten nicht gelehrt, er wird vor allem auf den höchsten Ebenen der
Banken- und Regierungsgeschäfte eingesetzt. Dementsprechend wissen die meisten Anwälte, Juristen und Richter nichts
vom UCC und werden behaupten, dieser sei nicht anwendbar.

1. Die Verordnung 13037 vom 4. März 1997 definiert Menschen als Kapital.
Siehe:
2. UCC Doc # 0000000181425776, welches am 12. August 2011 hinterlegt wurde, beweist
den Verkauf von USBürgern
in einer Transaktion zwischen dem Federal Reserve System und dem United States
Department of the
Treasury 1789 über $ 14,3 Billionen. (siehe obiger Link)
3. UCC Doc # 2001059388 ist der Beweis für die Vorlage, welcher sich die Federal Reserve Bank of New York bedient,
um die Sicherheiten von Banken auf der ganzen Welt abzusichern... einschließlich Sicherungsscheinen
(Geburtsurkunden) für mobile Sicherheiten (Menschen), Güter und ungeborene Jungtiere.

Diejenigen, die UCC als außerhalb der USA nicht anwendbar ansehen, behaupten somit, die ehemaligen
Finanzierungsvereinbarungen mit der Federal Reserve Bank of New York seien null und nichtig.

Gebührende Sorgfalt

Angesichts der Nutzung von UCC Einreichungen in den obersten Ebenen der "Regierungen" und Banken weltweit ist
gebührende Sorgfalt absolut notwendig.
Sollte es einen Konflikt, Fehler oder ein Falschheit geben, dann machen UND liefern Sie eine ordnungsgemäß geprüfte
vereidigte ERKLÄRUNG DER WIEDERLEGUNG der ordnungsgemäß geprüften, vereidigten und REGISTRIERTEN OPPT
ERKLÄRUNG DER FAKTEN, Punkt für Punkt, eingehend und spezifisch, mit ordnungsgemäßer eidesstattlicher Erklärung in
voller Verantwortung und Haftung, unter Strafe des Meineides unter jeglichem von Ihnen identifiziertem Recht, in nasser
Tinte unterzeichnet.
Bis heute ist kein solcher Widerspruch registriert worden.

Alle Menschen sind von Schulden frei gesprochen
(siehe Bekanntmachung der Erklärung der absoluten Wahrheit UCC # 2013032035)

Die abschließenden Dokumente des OPPT wurden am 18. März 2013 eingereicht. Dieses Dokument löste alle von
Menschen erstellten Entitäten auf und stellte die absolute Freiheit aller Menschen dieses Planeten wieder her. In diesem
Dokument wird sich mit den Worten “Ewige Essenz” auf den Schöpfer berufen, und alle Schöpfungen werden als
“Verkörperung Ewiger Essenz” bezeichnet.

Artikel VI besagt... "Ich bestätige ordnungsgemäß, mit voller persönlicher Verantwortung und Haftbarkeit, durch
BEKANNTGABE DER ORDNUNG, dass die Ewige Essenz transparent gemacht IST und durch
das TUN sämtlicher
Verkörperungen der Ewigen Essenz im Universum der Unendlichen Essenz bekannt ist, diese frei sind und frei sind von
allen Schulden, unwiderlegt;"

Dies bedeutet, ES GIBT KEINE SCHULDEN.

Sie haben keine Schulden... Niemand hat Schulden... Es ist vollbracht.

Beispiel einer Kulanzmitteilung vom 19.11.2018:



OPPT - One People's Public Trust‼️

Die Elite wurde gepfändet‼️💥

Dieses Video aus dem Jahr 2013 ‼️👈🏽

Ich gehe die Tage viel näher auf
bestimmte Themen ein 🙏🏽



Was passiert Weltweit❓

Fakt, Donald Trump sagte: "Ich bin kein Politiker, ich bin Geschäftsmann"‼️

Ich habe letztes Jahr etwas gelesen und auch ein Video darüber gesehen... OPPT

Der Vatikan wurde von einer kleinen Gruppe u.a.
US-Anwälten für die Menschen gepfändet.
Der Papst sollte seine Behauptung, die Vertretung Gottes auf der Erde zu sein, beweisen,
was er nicht konnte und kann.

Nur, die Vollstreckung blieb aus, wer hätte es im DS auch machen können.

Meine Vermutung und diese liegt nahe,  die Bilder wo DJT beim Papst war,
wer lächelte und wer war
grimmig❓😁

DJT hat die Pfändung des Vatikan vollstreckt‼️💥

Wir sind live dabei wie der Sumpf von oben nach unten trocken gelegt wird.
Und.... ein Sumpf wird auch physikalisch  von oben nach unten trocken gelegt.

Alles ist ein Geschäft und völlig legal‼️‼️

🍿🍿🍿🍿🍿

#EnjoyTheShow

geschrieben von :peer 🙏🏽

Deshalb sagten wir immer, vertraut dem Plan‼️
Jetzt wisst ihr wie gut dieser umgesetzt wurde und ebenso können wir auch jetzt handeln und
mitwirken 🙏🏽

Trump und der Papst / Vatican.



Wer die Dokumente in Word oder PDF Format möchte,
kann sich mit einer Mail an mich wenden.




U P I K
UPIK® Datensatz der Regierungs-Schweizer Firmen und Regierungs-Unternehmen Laut Wikipedia: D-U-N-S ist die Abkürzung für Data Universal Numbering System, einem Zahlensystem zur eindeutigen Identifikation von Unternehmen. 1962 von Dun & Bradstreet (D&B) eingeführt, hat es sich inzwischen als internationaler Standard etabliert. Der neunstellige D-U-N-S-Zahlencode wird von Dun & Bradstreet herausgegeben und dient als Identifikationsnummer für jedes in der Datenbank von D&B gespeicherte Unternehmen. Die Zahlenkombination wird als Zufallszahl vergeben und hat somit keine Semantik. Dieser Zahlencode wird von der Europäischen Kommission, den Vereinten Nationen und der US-amerikanischen Regierung verwendet, aber auch von der Industrie, wie dem Verband der Automobilindustrie. Die neunte Ziffer der Zahlenkombination diente bis etwa Ende 2006 als Prüfziffer, die nach dem Luhn-Algorithmus gebildet wurde, um ungültige Zahlenkombinationen ausschließen zu können. Um die steigende Nachfrage nach D-U-N-S-Nummern decken zu können, wurde seitdem auf den Einsatz dieser Ziffer als Prüfziffer verzichtet. UPIK® Datensatz – L Gemeindeverwaltung Sevelen L Eingetragener Firmenname Gemeindeverwaltung L D-U-N-S® Nummer 481069305 Geschäftssitz L Postleitzahl 9475 L Postalische Stadt Sevelen Land Switzerland W Länder-Code 756 Postfachnummer Postfach Stadt L Telefon Nummer 817501120 Fax Nummer Name Hauptverantwortlicher W Tätigkeit (SIC) 9111 UPIK® Datensatz – L Schweizerische Eidgenossenschaft L Eingetragener Firmenname Schweizerische Eidgenossenschaft L D-U-N-S® Nummer 485642987 L Geschäftssitz Bundesplatz L Postleitzahl 3003 L Postalische Stadt Bern Land Switzerland W Länder-Code 756 Postfachnummer Postfach Stadt L Telefon Nummer 313222111 Fax Nummer W Name Hauptverantwortlicher Eveline Widmer-Schlumpf W Tätigkeit (SIC) 9311 Die versteckten Unternehmen, die untendurch Nehmen und vorgeben, angeblich Regierungen zu sein. Unternehmen „Gemeindeverwaltung Sevelen“ mit der D-U-N-S® Nummer 481069305 Unternehmen „Kantonsgericht St.Gallen“ mit der D-U-N-S® Nummer 486868404. Unternehmen „Bundesgericht“ mit der D-U-N-S® Nummer 485183755. Unternehmen „Kreisgericht Sarganserland“ mit der D-U-N-S® Nummer 484921171 Unternehmen „Sozialversicherungsanstalt des SG“ mit der D-U-N-S® Nummer 484123331. Unternehmen „Kantonsregierung“ mit der D-U-N-S® Nummer 488918475 Etc. Im Internet sind alle D-U-N-S® Nummern zu finden. Google-Eingabe: D-U-N-S® Nummer finden! Es gibt keine Regierung mit ihren Körperschaften in der Schweiz. Alle sind Diener der Banken.
Kollateral teil 1

Alle deine Schulden sind Voraus bezahlt  Genau hinhören
v. René & Nicky  Sehr gute  Erklärung

Kollateral teil 2

Alle deine Schulden sind Voraus bezahlt  Genau hinhören
v. René & Nicky  Sehr gute  Erklärung

(C) Ewald SCHNIDRIG  
letzter Eintrag 27.06.2023

Zurück zum Seiteninhalt