Briefe 1
Briefe Seite 1
Einladung zum Verhör
Im Oktober 2016 erhielt der lebende Mann ewald SCHNIDRIG wegen übertretender Geschwindigkeit auf der deutschen Autobahn nähe Köln eine Einladung zum Verhör nach Köln,
es stand im Brief nichts von wegen wie schnell ich gefahren bin noch die Höhe der Busse. Zudem war das Nachts ohne Verkehr. Natürlich folgt der lebende Mann ewald solchen Einladungen ohne gültige Unterschrift nicht.
Ich habe Ihnen mit dem beiliegenden Brief geantwortet und habe bis heute nichts mehr gehört,
keine Antwort und auch kein Bussgeldbescheid.
Sehr geehrte Frau Cetin
am siebzehnten Tag, des zehnten Monats im Jahre zweitausendsechzehn fand der Mann ewald: aus der Familie schnidrig, ein Schreiben mit dem Titel „LADUNG ZUR ANHÖRUNG" des Amt für öffentliche Ordnung, gerichtet an PERSON EWALD SCHNIDRIG, ein Rechtssubjekt deren Urheber und Schöpfer die Bundesrepublik Deutschland/BUND bzw. der Bundesstaat Köln ist. Da eine Zustellung nur an eine prozeßfähige, natürliche Person, nicht jedoch eine juristische Person erfolgen kann ist die Zustellung mangels Anhörungsfähigkeit unwirksam.
Die Formulierung des Schreibens mit dem Titel „LADUNG ZUR ANHÖRUNG" ist für den Unterzeichner z.Z. unverständlich bzw. nicht zu verstehen. Das Schreiben suggeriert, daß die Person „Herrn EWALD SCHNIDRIG“ zu einem Termin geladen ist. Ist das Schreiben so zu verstehen, daß der Mensch ewald, zur Anhörung die juristische PERSON Treuhand Stiftung Geburtenbond an das Amt für Ordnung liefern soll? Dazu bedarf es jedoch zunächst eines Beförderungsvertrages [§ 453 HGB] um einen Transport auf der Schiene, der Straße, zur See, in der Luft, auf Binnenwasserstraßen oder einer Kombination dieser Verkehrsträger durchzuführen.
Bitte teilen Sie dem Unterzeichner mit, ob Ihr o.g. Schreiben als Beförderungsauftrag nach [§ 453 HGB] zu verstehen ist. Hiezu bedarf es aber noch einer wirksamen Unterschrift [§ 126 BGB]. Auch eine Abschrift ist mit Unterschrift zu unterzeichnen [§ 408 HGB]. Doch stellt sich nun für den Unterzeichner die Frage, wie kann die jur. Person EWALD SCHNIDRIG geladen werden, wenn diese schon bei Ihnen hinterlegt ist.
Die Vertreter des Amtes - der Urkundsbeamte bzw. [Beamte] - sind doch als Treuhänder bzw. im Auftrag des Treuhänders bereits im Besitz der Person EWALD SCHNIDRIG und damit verfügungsberechtigt. Oder ist beabsichtigt, den Menschen ewald: zu dem Termin einzubestellen um ihm die Treuhandschaft an der jur. PERSON EWALD SCHNIDRIG zu übertragen, also einen Treuhandwechsel vorzunehmen und damit die Haftung auf den Menschen zu übertragen?
Bei dem Unterzeichner handelte es sich nicht um die Person EWALD SCHNIDRIG und auch nicht um dessen Organverwalter/Treuhänder.
Doch auch die Ladung zu einer Anhörung durch die jur. PERSON EWALD SCHNIDRIG
läßt Unverständnis aufkommen. Ganz nach der „Fiktionstheorie“ wonach es eine jur. PERSON
zu schaffen gilt, um ihr herrenlose jur. PERSON zu schaffen gilt. um ihr herrenlose
Rechte zu ordnen zu können.
zu schaffen gilt, um ihr herrenlose jur. PERSON zu schaffen gilt. um ihr herrenlose
Rechte zu ordnen zu können.
Als „herrenlose Rechte“ sind u.a. die [Zivilprozeßordnung (ZPO)] als auch die [Strafprozeßordnung StPO) zu werten
[Ladung nach ZPO § 274, nach StPO § 133 und § 216].
In deren Eingangsformel finden wir die Zuständigkeit- die Berechtigung und Verpflichtung der
Wahrnehmung einer Aufgabe, geregelt. Die allgemeine Regelung der staatlichen Zuständigkeit ist
in der Verfassung enthalten.
Es ergeht folgender Beschluß:
Begründung
Aufgrund fehlender Organe scheint eine Bestallung zur Anhörung im Amt für öffentliche Ordnung nicht möglich, da eine Anhörung auf der Grundlage der ZPO oder der StPO nur von einem gesetzlichen Amtsträgers des Deutschen Reiches geführt werden kann. Nach der Streichung des [§ 15 Gerichtsverfassungsgesetzes (GVG)], wonach alle Ämter Staatsämter sind, kann es sich folglich bei dem [Amt für öffentliche Ordnung] nur um ein Amt im Sinne des [§ 16 GVG] handeln, einem unstatthaften Ausnahmeamt.
IN LIEBE
Der Adressat Frau Cetin, geb. tätig im [Amt für öffentliche Ordnung] hat binnen 72 Stunden nach Zustellung dieses Schreibens eine Genehmigung / Legitimation des Deutschen Reiches dem Souverän und Unterzeichner zuzustellen bzw. vorzulegen und zu erklären, wer sie, wann nach welchem Rechtskreis im [Amt für öffentliche Ordnung] autorisiert bzw. legitimiert hat. Erfolgt diese nicht gilt ultra vires.
Aufgrund fehlender Organe scheint eine Bestallung zur Anhörung im Amt für öffentliche Ordnung nicht möglich, da eine Anhörung auf der Grundlage der ZPO oder der StPO nur von einem gesetzlichen Amtsträgers des Deutschen Reiches geführt werden kann. Nach der Streichung des [§ 15 Gerichtsverfassungsgesetzes (GVG)], wonach alle Ämter Staatsämter sind, kann es sich folglich bei dem [Amt für öffentliche Ordnung] nur um ein Amt im Sinne des [§ 16 GVG] handeln, einem unstatthaften Ausnahmeamt.
OHNE PRÄJUTIZ
UCC 1-308 UND UCC 1-103
Behördenbriefe als Amtsbriefe dürften nur durch Amtszustellung erfolgen,
was die Post nicht mehr ist und auch kein anderer Privatdienst.
Selbst der GVZ, der das sein müsste und könnte, ist ja seit langem auch kein Teil einer Behörde mehr. Eigentlich kann gar keiner mehr zustellen, wenn auch die Gerichte nur noch unzulässig Firmen sind?!
Ob die Zustellung damit wirkungslos ist, weil die vorgeschriebene Form nicht eingehalten wurde, genannt Verfahrensfehler, der den Akt nichtig macht, sollte schleunigst geprüft werden.
Das zum Thema, wie ehrlich und tauglich die Justiz in Wahrheit ist.
10.03.2022
Brief / Obligation
an Bundespräsidenten Ignazio Cassis
egal was für ein Schreiben ihr bekommt.
Schreibt doch mal folgendes:
Ihr Dokument ist eingegangen kann aber wegen folgender offensichtlicher Mängel nicht weiter bearbeitet werden
- der Inhalt wurde gelesen aber nicht verstanden. Erklären sie anhand einer präzisen Definitionsliste Ihr Dokument
- Wer übernimmt die Haftung für diesen Vorgang bei Vermögensschäden und für Menschenhandel?
- Nennen Sie dem Unterzeichner den wirtschaftlich Berechtigten des angegebenen Kontos nach dem für Sie geltenden Geldwäscheverordnungen.
- Es fehlen die Steuernummer und der Geschäftsführer auf Ihrem Dokument, was gegen die auch für Sie geltende Abgabenordnung verstoesst und hiermit gerügt wird. Mindestanforderung an Rechnungen
sollten Ihnen bekannt sein, im Zweifel fragen Sie bei einer fachkompetenten Stelle in Ihrem Unternehmen nach.
- Nach Erfüllung der Missstände ist der Unterzeichner bereit für weitere Verhandlungen über Kreditgewährungen, nach erfolgter Freigabe durch Ihren Insolvenzverwalter.
- Sie schreiben dieses Dokument "im Auftrag". Haben Sie diesen Auftrag schriftlich, Kopie reicht aus.
Frist 10 Tage
Dieses Schreiben wurde nach bestem Wissen, Gewissen und im guten Glauben verfasst und dient ausschliesslich der Transparenz von Verwaltungsvorgängen. Im Falle der Verweigerung muss der Gedanke erlaubt sein, dass man es mit kriminellen Elementen zu tun hat.
Hochachtungsvoll
by ... a.r
Willkür ist,
wenn ein leitender Bediensteter der Firma Stadtverwaltung Buchs SG (Zweigstelle des sogenanntem Betreibungsamt) eine zu Unrecht geforderte Schuld nach einer Zurückweisung des angeblichen Schuldners, in seinem Namen für den angeblichen Schuldner beim Bezirksgericht Mels Rechtsvorschlag macht und somit eine Geldmaschine in Bewegung setzt. (siehe nachfolgende Dokumente).......
Mein, an das sogenannte Betreibungsamt zurückgewiesenes Dokument
( ohne Rechtsvorschlag da zurückgewiesen )
Das vom bediensteten Leiter des Betreibungsamtes gefälschte Dokument
(das in seinem Namen für den angeblichen Schuldner mit Rechtsvorschlag versehene Dokument
das er ans Bezirksgericht schickte)
Schuldbetreibung ist eine Straftat:
** Für den Schweizer Staatsbürger besteht keine generelle Pflicht, Schulden zu bezahlen.
Man ist also nicht verpflichtet, einen Zahlungsbefehl eines Betreibungsamtes anzunehmen.Würde das Betrei- bungsbüro dies durch Androhung und oder anschliessender Gewalt gegen den Willen des von Ihnen kontaktierten Menschen tun, liegen bereits folgende Straftaten gegen Sie vor: StGB Art. 146, 156, 181, 183, 264, 287, 312 und 314
** Seit dem Jahre 2002 sind ja alle Beamten und Beamtenstellen aufgehoben worden. Also kann es gar kein Betreibungsamt mehr geben. BETREIBUNGSÄMTER sind heute nur noch private Inkassobüros. Kein Betreibungsbüro hat heute eine Legitimation, eine Amtshandlung durch zu führen. Somit sind alle Betreibungsurkunden / Schuldscheine / Pfändungen ungültig. Die Betreibungsbüro Angestellten machen sich strafbar. Sie sind also verpflichtet, jegliche Betreibungsurkunden abzulehnen und zu retournieren. Ansonsten Sie eine Straftat unterstützen.
Kein einziger Richter fällt ein gesetzeskonformes Urteil:
„Wir in der Schweiz erleben in diesem Augenblick, dass Macht von Recht getrennt ist, dass Macht gegen Recht steht – das Recht zertreten wird und dass der Staat zum Instrument der Rechtszerstörung wird, zu einer sehr gut organisierten Räuberbande, die die ganze Welt bedroht und die uns an den Rand des Abgrunds führt.
Durch meine Aktivitäten habe ich Schuldige, Täter geschaffen, denn alle Personen, die gegen mich tätig wurden, haben dies ohne Legitimation getan und sind damit privatrechtlich haftbar.
Und eines muss man sich gut vergegenwärtigen, egal welche Taktik man wählt, ungültiges Grundgesetz erzeugt, ungültige einfachgesetzliche Gesetze, wir haben immer Recht und der Schurkenstaat hat immer Unrecht.
Das bewirkt, dass jeder Verwaltungs-Beamte, und dazu zähle ich auch sogenannte Betreibungsbeamte, immer Unrecht und Rechtsbeugung betreiben muss, um das System (DIE FIRMA SCHWEIZ)
zu schützen und damit sich selbst den Arbeitsplatz zu sichern.
Nebenbei bemerkt gibt es keinen einzigen gesetzlichen Betreibungsbeamten in der Schweiz Der Betreibungsbeamte begeht Rechtsbeugung zum Preis des Hochverrates gegenüber dem Volk.
Die Strafe für Hochverrat ist die Höchste, die es in einer Rechtsordnung gibt.
Täglich begegnen wir Menschen, die eine Botschaft für uns haben, doch meistens können wir diese Botschaften, die an uns gerichtet sind, nicht „wahr- nehmen“, da wir zu sehr in der Matrix gefangen sind. Erst wenn es uns gelingt, Kontakte außerhalb der Matrix herzustellen, werden wir in der Lage sein, uns persönlich weiter zu entwickeln.
Ich wünsche Ihnen, den ehrlichen, wahrhaften und mutigen Menschen unter den Lesern
dieser Zeilen, eine gute Zeit und alles Glück dieser Erde und hoffe, dass Sie den Übertritt in
das neue Zeitalter gesund und unbeschadet überstehen werden und ich wünsche, dass Sie noch viel Freude in Ihrem Leben erfahren dürfen.
Also bei jeder Steuerrechnung / Mahnung / Betreibungsandrohung, retour:
** Da in der Schweiz der Beamtenstatus schon im Jahre 2002 aufgehoben wurde (und ja alles Firmen sind), sind so genannte Beamte, Betreibungs- beamte, Steuerkommisare, Richter und Staatsanwälte nur' Bedienstete. D.h. Firmenangestellte der Firma Schweizerische Eidgenossenschaft samt Unterorganisationen
** Der Beamtenstatus wurde im Jahre 2002 aufgehoben. Es existiert nur noch die Betitelung 'Beamte'. In Wirklichkeit sind Sie Dienstnehmer - deswegen auch Dienstausweise ohne hoheitliche Befugnisse. Sie gelobten unter falschen Voraussetzungen, der Schweizerischen Eidgenossenschaft die Treue.
**Dass die Schweizerische Eidgenossenschaft kein legitimer Staat, sondern nur eine Treuhandverwaltung ist, welche als Unternehmen geführt wird, wurde Ihnen mit sehr hoher Wahrscheinlichkeit nicht mitgeteilt! Werfen Sie einen Blick auf die Formulare die Sie täglich ausfüllen und Sie werden feststellen, dass auf jedem Dokument eine UID Nummer
o.ä. vermerkt ist, die Ihren Dienstgeber als Unternehmen ausweist.
Eidesstattliche Erklärung Bürger Switzerland:
"Diese Bekanntmachung richtet sich offiziell an die oben und unten genannten Parteien, „Beamten“ und Organe, sowie deren Unterinstanzen und alle ihre Nachfolger. An die
Schweizer Eidgenossenschaft, all ihre Organe, sowie sämtliche betroffenen oder interessierten Personen oder Personengesellschaften, sowie deren Nachfolger. Ausserdem, in weiterer Folge und für alle Zeit an sämtliche Nationen und Personen, sowie alle Menschen auf dem Planeten Erde.
Zur Kenntnisname:
Diese Mitteilung bestätigt, dass Sie auf diesem Wege korrekt davon in Kenntnis gesetzt wurden. Wobei damit genüge getan ist, dies - im Sinne der organschaftlichen Vertretung -lediglich den höchsten Instanzen und nicht auch allen untergeordneten Instanzen gesondert mitzuteilen. Und, dass jeder, der mich in meinen rechtmäßigen Aktivitäten stört, nachdem
ihm diese, meine Bekanntmachung mitgeteilt wurde, und der verabsäumt ordnungsgemäss
zu verhandeln oder eine rechtmässige Gegenbehauptung zu tätigen mein natürliches Recht verletzt und sich dafür in einem ordentlichen Gericht verantworten müssen wird.
Hiermit teile ich Ihnen in vollem Ernst, in vollem Besitz meiner geistigen Fähigkeiten, wachem Bewusstsein und ohne böse Absicht folgendes mit:
Hiermit teile ich Ihnen in vollem Ernst, in vollem Besitz meiner geistigen Fähigkeiten, wachem Bewusstsein und ohne böse Absicht folgendes mit:
Ummeldung innerhalb der gleichen Stadt als Mensch,
in dem ich die Person im Couvert per Post vorbei schicke.
Schuldbetreibung ist eine Straftat:
** Für den Schweizer Staatsbürger besteht keine generelle Pflicht, Schulden zu bezahlen. Man ist also nicht verpflichtet, einen Zahlungsbefehl eines Betreibungsamtes anzunehmen. Würde das Betreibungsbüro dies durch Androhung und oder anschliessender Gewalt gegen den Willen des von Ihnen kontaktierten Menschen tun, liegen bereits folgende Straftaten gegen Sie vor: StGB Art. 146, 156, 181, 183, 264, 287, 312 und 314
** Seit dem Jahre 2002 sind ja alle Beamten und Beamtenstellen aufgehoben worden. Also kann es gar kein Betreibungsamt mehr geben. BETREIBUNGSÄMTER sind heute nur noch private Inkassobüros. Kein Betreibungsbüro hat heute eine Legitimation, eine Amtshandlung durch zu führen. Somit sind alle Betreibungsurkunden / Schuldscheine / Pfändungen ungültig. Die Betreibungsbüro Angestellten machen sich strafbar. Sie sind also verpflichtet, jegliche Betreibungsurkunde abzulehnen und zu retournieren.
Ansonsten Sie eine Straftat unterstützen.
Kein einziger Richter fällt ein gesetzeskonformes Urteil
„Wir in der Schweiz erleben in diesem Augenblick, dass Macht von Recht getrennt ist, dass Macht gegen Recht steht – das Recht zertreten wird und dass der Staat zum Instrument der Rechtszerstörung wird, zu einer sehr gut organisierten Räuberbande, die die ganze Welt bedroht und die uns an den Rand des Abgrunds führt.
Durch meine Aktivitäten habe ich Schuldige, Täter geschaffen, denn alle Personen, die gegen mich tätig wurden, haben dies ohne Legitimation getan und sind damit privatrechtlich haftbar.
Und eines muss man sich gut vergegenwärtigen, egal welche Taktik man wählt, ungültiges Grundgesetz erzeugt, ungültige einfachgesetzliche Gesetze, wir haben immer Recht und der Schurkenstaat hat immer Unrecht.
Das bewirkt, dass jeder Verwaltungs-Beamte, und dazu zähle ich auch Betreibungsbeamte, immer Unrecht und Rechtsbeugung betreiben muss, um das System (DIE FIRMA SCHWEIZ) zu schützen und damit sich selbst den Arbeitsplatz zu sichern.
Nebenbei bemerkt gibt es keinen einzigen gesetzlichen Betreibungsbeamten in der Schweiz Der Betreibungsbeamte begeht Rechtsbeugung zum Preis des Hochverrates gegenüber dem Volk.
Die Strafe für Hochverrat ist die Höchste, die es in einer Rechtsordnung gibt.
Täglich begegnen wir Menschen, die ein Botschaft für uns haben, doch meistens können wir diese Botschaften, die an uns gerichtet sind, nicht „wahr-nehmen“, da wir zu sehr in der Matrix gefangen sind.
Erst wenn es uns gelingt, Kontakte außerhalb der Matrix herzustellen, werden wir in der Lage sein, uns persönlich weiter zu entwickeln.
Ich wünsche Ihnen, den ehrlichen, wahrhaften und mutigen Menschen unter den Lesern dieser Zeilen, eine gute Zeit und alles Glück dieser Erde und hoffe, dass Sie den Übertritt in das neue Zeitalter gesund und unbeschadet überstehen werden und ich wünsche, dass Sie noch viel Freude in Ihrem Leben erfahren dürfen.
Also bei jeder Steuerrechnung / Mahnung / Betreibungsandrohung, retour:
** Da in der Schweiz der Beamtenstatus schon im Jahre 2002 aufgehoben wurde (und ja alles Firmen sind), sind so genannte Beamte, Betreibungs-beamte, Steuerkommisare, Richter und Staatsanwälte nur' Bedienstete. D.h. Firmenangestellte der Firma Schweizerische Eidgenossenschaft samt Unterorganisationen
** Der Beamtenstatus wurde im Jahre 2002 aufgehoben. Es existiert nur noch die Betitelung 'Beamte'. In Wirklichkeit sind Sie Dienstnehmer - deswegen auch Dienstausweise ohne hoheitliche Befugnisse. Sie gelobten unter falschen Voraussetzungen, der Schweizerischen Eidgenossenschaft die Treue.
**Dass die Schweizerische Eidgenossenschaft kein legitimer Staat, sondern nur eine Treuhandverwaltung ist, welche als Unternehmen geführt wird, wurde Ihnen mit sehr hoher Wahrscheinlichkeit nicht mitgeteilt! Werfen Sie einen Blick auf die Formulare die Sie täglich ausfüllen und Sie werden feststellen, dass auf jedem Dokument eine UID Nummer o.ä. vermerkt ist, die Ihren Dienstgeber als Unternehmen ausweist.
Eidesstattliche Erklärung :Ewald :Schnidrig
"Diese Bekanntmachung richtet sich offiziell an die oben und unten genannten Parteien, „Beamten“ und Organe, sowie deren Unterinstanzen und alle ihre Nachfolger. An die Schweizer Eidgenossenschaft, all ihre Organe, sowie sämtliche betroffenen oder interessierten Personen oder Personengesellschaften, sowie
"Diese Bekanntmachung richtet sich offiziell an die oben und unten genannten Parteien, „Beamten“ und Organe, sowie deren Unterinstanzen und alle ihre Nachfolger. An die Schweizer Eidgenossenschaft, all ihre Organe, sowie sämtliche betroffenen oder interessierten Personen oder Personengesellschaften, sowie
deren Nachfolger. Ausserdem, in weiterer Folge und für alle Zeit an sämtliche Nationen und Personen,
sowie alle Menschen auf dem Planeten Erde.
Zur Kenntnisnahme
Diese Mitteilung bestätigt, dass Sie auf diesem Wege korrekt davon in Kenntnis gesetzt wurden. Wobei
Diese Mitteilung bestätigt, dass Sie auf diesem Wege korrekt davon in Kenntnis gesetzt wurden. Wobei
damit genüge getan ist, dies - im Sinne der organschaftlichen Vertretung -lediglich den höchsten Instanzen und nicht auch allen untergeordneten Instanzen gesondert mitzuteilen. Und, dass jeder, der mich in meinen rechtmäßigen Aktivitäten stört, nachdem ihm diese, meine Bekanntmachung mitgeteilt wurde, und der verabsäumt ordnungsgemäss zu verhandeln oder eine rechtmässige Gegenbehauptung zu tätigen mein natürliches Recht verletzt und sich dafür in einem ordentlichen Gericht verantworten müssen wird.
Hiermit teile ich Ihnen in vollem Ernst, in vollem Besitz meiner geistigen Fähigkeiten, wachem Bewusstsein und ohne böse Absicht folgendes mit:
Hiermit teile ich Ihnen in vollem Ernst, in vollem Besitz meiner geistigen Fähigkeiten, wachem Bewusstsein und ohne böse Absicht folgendes mit:
Ich :Ewald :Schnidrig beanspruche das Recht, nicht gegen meinen Willen oder gar mein Wissen, sowie weder durch Drohung oder Zwang in Verträge oder Vereinbarungen genötigt oder getäuscht zu werden. Ich anerkenne keinerlei Verpflichtungen aus solchen heraus und erkläre hiermit jegliche Vereinbarungen oder Verträge, von denen behauptet wird, dass sie existierten, sowie etwaige daraus abgeleitete Verpflichtungen unter Schadenersatz Anspruchsvorbehalt für nichtig. Dies gilt insbesondere für solche, welche zu meinem Schaden bzw. gegen mich verwendet worden sind, werden oder werden werden.
Ich :Ewald :Schnidrig
beanspruche weiters das alleinige Recht auf die Verwendung des Namens :Ewald :Schnidrig und behalte mir das Recht vor, bei Verletzungen desselben, Schadenersatzansprüche geltend
zu machen. Ausgenommen davon ist die eventuell mögliche Namensgleichheit mit anderen natürlichen Wesen auf diesem Planeten. Sollte eine Institution, ein Organ, eine Person oder sonst wer mit diesem meinem Namen Verträge oder Vereinbarungen treffen oder Geschäfte machen, behalte ich mir ebenfalls Schaden-ersatzansprüche gegenüber allen beteiligten Parteien vor, sowie das Recht, sämtliche aus solchen Vereinbarungen oder Verträgen resultierenden Erlöse für mich zu beanspruchen.
Ich :Ewald :Schnidrig
behalte mir das Recht vor, meinen privaten Besitz und mein Eigentum, sowie jeden und alles darin oder darauf zu schützen und zu verteidigen.
Ich :Ewald :Schnidrig
beanspruche das Recht, sämtliche Errungenschaften der Menschheit, sei es technischer, geistiger oder welcher auch immer gearteter Natur, welche für mich von Nutzen sind und mir das Leben erleichtern, selbstverständlich in jedem Fall zu nutzen und gegebenenfalls auch Verträge oder Vereinbarungen dafür einzugehen. Insbesondere, um Konflikte oder Probleme
zu vermeiden. Solche Vereinbarungen oder Verträge dienen der Lebensgestaltung und stellen keine Unterordnung unter fremde Autorität dar.
Ich :Ewald :Schnidrig
behalte mir das Recht vor, auf meinem Besitz sowie auf öffentlichem Grund zu jagen, zu
fischen und zu sammeln, so wie es für jedes natürliche Lebewesen normal ist.
Ich :Ewald :Schnidrig
beanspruche das Recht zu reisen und mich frei zu bewegen.
Ich :Ewald :Schnidrig
behalte mir das Recht vor, im Falle eines Gesetzesverstosses von Beamten, Organen, Personen und dergleichen gegen mich oder meine Kinder einen Stundensatz in Höhe von 7.000,- CHF in Rechnung zu stellen, bzw. 700,- CHF im Falle von Belästigungen, Kontrollen, Zurechtweisungen, und dergleichen, bzw. 70.000,- CHF im Falle von Gewaltanwendung, Verhaftung, Entführung, Inhaftierung oder Nötigung gegen meine ausdrückliche Zustimmung. Eine Zustimmung unter Protest ist keine solche ausdrückliche Zustimmung, sondern dient lediglich der Vermeidung von Konflikten oder Problemen und zieht sämtliche rechtlichen Konsequenzen für den Verantwortlichen nach sich, insbesondere, wenn es sich um willkürliche und unbegründete Sachverhalte handelt. Ein begründeter Sachverhalt liegt ausschliesslich
dann vor, wenn es einen nachvollziehbaren Schaden an Personen oder deren Eigentum gibt, der durch mich verursacht wurde. Für den Fall eines solchen, mit Sicherheit meinerseits unbeabsichtigten Schadens, übernehme ich selbstverständlich die volle Verantwortung und werde mich natürlich um Wiedergutmachung bemühen.
Ich :Ewald :Schnidrig
behalte mir das Recht vor, für oben genannte Stundensätze einen öffentlichen Notar zur Gewährleistung meiner Bezahlung einzusetzen. Ich beabsichtige nicht, Ihr System gewaltsam zu stürzen oder durch terroristische Aktivtäten zu gefährden. Ich lehne Gewalt kategorisch ab und distanziere mich von solchem Gedankengut. Ich beanspruche das Recht, in Frieden zu leben! Selbstverständlich behalte ich mir jedoch das Recht auf die Gewalt vor, die notwendig erscheint, dem Schutz meines Lebens, Besitzes oder Eigentums, bzw. dem Schutz des Lebens, des Besitzes oder des Eigentums von Menschen dient, welche meiner Hilfe bedürfen, bzw. diese erbitten. Das gilt insbesondere für (meine) Kinder.
Weiters beanspruche ich :Ewald :Schnidrig
das Recht, sämtliche Dokumente und Identifikationsmittel- oder Nummern, welche mir im Lauf meines Lebens für die Person :Ewald :Schnidrig übermittelt oder zugeteilt wurden, weiter zu verwenden und zwar nicht in Anerkenntnis jeglicher fremder Autorität über mich, sondern lediglich um Konflikte und Probleme in meinem weiteren Leben zu vermeiden. Dazu zählen zum Beispiel Führerschein, Reisepass, HR-Eintrag, UID-Nr., Sozialversicherungsnummer und so weiter…
Ich erkläre hiermit, dass ich mich an die nötigen Regeln im Umgang mit allen Menschen halten werde. Ich werde niemandem absichtlich schaden, niemanden absichtlich gefährden, sowie kein fremdes Eigentum absichtlich beschädigen.
Ich :Ewald :Schnidrig
beanspruche das Recht, am Geldsystem teilzunehmen, jedoch behalte ich mir das Recht vor, Rechnungen ohne jegliche enthaltene Steuern zu legen. Sollte ich dafür die, der Person :Ewald :Schnidrig zugewiesene UID-Nr. verwenden, dann nur um meine Rechnungen für meine Geschäftspartner innerhalb des Systems buchbar zu machen. Dies stellt ebenfalls auf keinen Fall eine Unterordnung unter jedwede fremde Autorität dar und dient ausschliesslich der Vermeidung von Konflikten oder Problemen.
Weiters behalte ich mir das Recht vor, für jedweden Schaden, der mir durch die langjährige Täuschung im Bezug auf die Person :Ewald :Schnidrig im Laufe meines Lebens entstanden ist, Schadenersatz zu fordern. Ich setze hiermit die Höhe der Schadenersatzforderung mit 7.000.000,- CHF pro Lebensjahr fest.
Alle betroffenen Parteien, die über diese Erklärung diskutieren möchten, müssen innerhalb von 10 Tagen antworten. Solche Antworten bedürfen der vollen Geschäftsfähigkeit der antwortenden Partei, einer eidesstattlich begründeten Erklärung und müssen innerhalb der oben genannten Frist eingeschrieben an
den unten angeführten Menschen gesendet werden.
Somit sei allen interessierten und betroffenen Parteien mitgeteilt, dass ich, das natürliche Wesen :Ewald :Schnidrig ein freier Bewohner des Planeten Erde bin und niemandem, ausser dem Schöpfer Rechenschaft über mein Handeln schuldig bin. Ich lebe in voller Souveränität und unter keinerlei fremder Autorität. Ich habe die ehrliche und redliche Absicht, rechtmässig und in Frieden mit allen, sowie ohne jegliche Bindung
an statutarische Verpflichtungen oder Einschränkungen zu leben. Ich beanspruche selbstverständlich weiterhin sämtliche Rechte Handel zu treiben, Geschäfte zu machen, zu Tauschen, Vereinbarungen und Verträge einzugehen, sowie mein Leben nach meinem Willen zu gestalten. Niemand und Nichts hat das Recht, mich zu regieren, zu kommandieren, zu regulieren oder zu etwas zu verpflichten ohne meine vorherige ausdrückliche schriftliche Zustimmung. Sollte ich in eine solche Zustimmung unter Drohung oder Täuschung genötigt werden, dann ist das keine solche Zustimmung und zieht automatisch eine Schadenersatzforderung nach sich.
Diese Erklärung ist für immer gültig. Ich behalte mir das Recht vor, diese jederzeit zu ergänzen, bzw. etwaige Formulierungsfehler im Sinne der Verständlichkeit und Klarheit zu ändern.
Ich :Ewald :Schnidrig
schwöre hiermit feierlich und vor dem Schöpfer, dass ich :Ewald :Schnidrig bin, ein natürliches, spirituelles, liebendes Wesen, ein freier Bewohner des Planeten Erde und dass sämtliche Ausführungen in dieser Erklärung meinem freien Willen, meinem vollen Verständnis und der Wahrheit entsprechen.
Anmeldung
Die meisten Leute glauben, dass, wenn sie ein neues Auto kaufen, Dieses anmelden müssen (in Britannien, mit der Firma, die als „Driver and Vehicle Licensing Agency" bekannt ist). Was sehr wenigen Leute bewusst ist, ist die Tatsache, dass dieser Akt des Anmelden, das Eigentumsrecht am Fahrzeug von Ihnen, dem Käufer, der das Geld zahlte, an die Behörde überträgt, die das Auto registriert. Das heißt, Sie haben gerade Ihre Fahrzeug an eine Firma übereignet, die überhaupt nichts für Sie gemacht hat, und welche auch nicht das Beste für Sie im Sinn hat. Da es unrechtmäßig ist, jemanden zu beschwindeln, würde mich interessieren, ob es überhaupt ein Grund gibt, warum diese Registrierung rechtens sein sollte, und warum man dieses Verhalten nicht als eklatanten und offensichtlichen Betrug, denn es gab offensichtlich keine volle Bekanntgabe der Bedingungen des Vertrages. Die Veränderungen des Eigentumsverhältnis wird dadurch bestätigt, dass Sie, der ehemalige Eigentümer, ein Dokument erhalten, das angibt, dass Sie jetzt „der eingetragene Halter" des Fahrzeuges sind, das Sie gerade gekauft haben. Sie sollen für den Unterhalt des Fahrzeuges aufkommen, das Ihnen nicht gehört, und der eigentliche Eigentümer kann und wird das Fahrzeug zerstören (was den Eigentümer nichts kostet) wenn Sie, der „eingetragene Halter“, nicht weiterhin für die Nutzung aufkommen. Das Zerstören des Fahrzeuges wäre rechtswidrig, wenn das Fahrzeug nicht der Firma gehörte, die die Zerstörung veranlasst. Das Fahrzeug wird verschrottet, wenn die „KFZ-Steuer“ nicht gezahlt wird.
Die„Steuer“ ist erforderlich und wurde ursprünglich eingeführt als ein Fond, von den Fahrzeugfahrern bezahlt, um neue Straßen zu bauen und Bestehende zu reparieren. Das war eine sehr vernünftige Idee und es bedeutet, dass alle Straßen im Land den Leuten gehört, die das Geld für sie gezahlt haben, um sie zu bauen und reparieren. Diese KFZ-Steuer ist zweckentfremdet worden, und ich habe Berichte gesehen, die angeben, dass 85% von dieses Geld für andere Sachen ausgegeben werden, die in keiner Weise im Zusammenhang mit Straßen oder Fahren stehen. Örtliche Verwaltungen sagen, dass sie die Straßen nicht richtig unterhalten können, weil Sie nicht genügend Geld haben, um diese Arbeiten zu erledigen. Die „KFZ-Steuer“ ist höher für Fahrzeuge mit großen Motoren mit der lächerlichen Entschuldigung, das sie mehr Treibstoff verbrennen und damit mehr zum Treibhauseffekt beitragen. Der wirkliche Grund für die Erhöhung ist, wie immer, einfach, es soll mehr Geld von Leuten genommen werden, die keine Idee haben, was vor sich geht. Es gibt sogar einen Vorschlag umher, dass Autofahrern jede Meile berechnet werden soll, die auf den Straßen fahren, für die sie gezahlt haben und die ihnen gehören. Das ist natürlich nicht der einzige Strom von Geld durch Fahrzeugen. Eine bedeutende Quelle von Steuern ist die horrende „Steuer“ auf Treibstoff für Fahrzeuge, und es ist berichtet worden, dass unglaubliche 85% des Verkaufspreises nicht notwendig sind, für die Lokalisation, Förderung, Verarbeitung und Lieferung des eigentlichen Treibstoffes. Im Übrigen sei angemerkt, dass Fahrzeuge mit Wasser, Pressluft, Energie aus der Umgebung, Dauermagneten, und sogar mit Schwerkraft fahren könnten. Es wird, ohne Zweifel, ein großer Schock sein, dass die Erfinder, die dieses gemacht haben, plötzlich verschwunden sind, als sie anfingen, ihre Prototypen zu testen. Zu weit hergeholt? Ich kenne fünf Leute persönlich, dem erzählt worden ist, „aufzuhören und nicht weiterzumachen oder sonst". Wenn Sie die Milliarden und Abermilliarden an Profit verstehen, die durch das Verkaufen von Öl-Produkten gemacht werden, werden solche Handlungen sehr verständlich, besonders dadurch, dass die Leute, die diese Sachen machen, die Polizei und die Gerichte besitzen und dadurch sicher sind, dass es egal was passiert, es kein Comeback geben wird. Sie glauben vielleicht, dass es kein weiteres Geld gibt, was aus der Person gequetscht werden kann, die ein Auto kauft, aber das ist nicht der Fall. Es gibt zwei weitere bedeutende Gebühren. Die Erste ist der Zoll auf Fahrzeuge, die ins Land von draußen gebracht werden, und das kann ein beträchtliche Menge. Die Zweite ist eine der schädlichsten Gebühren, „Mehrwertsteuer“ genannt, in Britannien und „Verkaufssteuer" woanders. Diese Steuer ist zurzeit auf 17.5% und erhöht den Verkaufspreis von fast allem beachtlich. Egal wie hoch Einkommen besteuert wird, der Rest wird benutzt werden, um Einkäufe zu tätigen, fast alles von den Einkäufen ist selbst besteuert, und die Bestandteile, die bei der Herstellung genutzt werden, Transport und Reklame sind auch besteuert und heben den Preis noch weiter. Wenn diese Sachen berücksichtigt werden, wird angenommen, dass 80% von den Einkommen einer Person weggenommen wird, durch die verschiedenen Steuern und andere unnötige Abgaben.
Professionelle Wirtschaftswissenschaftler gaben an, dass die angeblich-freien Leute im „demokratischen“ Britannien eigentlich weitestgehend schlechter dastehen als die „Serf“-Sklaven in früheren Zeiten - so viel
zur „Freiheit“! So, was ist mit der „Driving Licence“ oder in Amerika „Driver's Licence“ ? Unter Common Law haben Menschen das Recht, frei zu reisen und heutzutage schließt dies das Benutzen eines Fahrzeuges ein, während man reist. Die JuristenjargonLeute wollen Sie dazu bringen, dass Sie nicht mehr ein Reisender unter „Common Law“ sind, sondern stattdessen ein „Fahrer" – Subjekt ihrer Statuten, und Diese erfordern, dass ein „Fahrer" ein Führerschein, KFZ-Steuer, Autoversicherung und alles andere, was sie sich ausdenken können, braucht. Wenn Sie in Freiheit leben wollen, und jemand fragt nach Ihrer Genehmigung ( welche ausgestellt worden wäre, wenn Sie um die Ausstattung mit Einer gefleht hätten und sich damit freiwillig durch diese Handlung ihrer Autorität aussetzen), dann ist die Frage „Warum sollte ich eine von denen wollen?"
Ein Führerschein ist nur für den Fahrer eines Fahrzeugs notwendig, der damit am Handel teilnimmt. Es kann argumentiert werden, dass das Transportieren eines Strohmanns eine kommerzielle Unternehmung ist, deshalb wäre es ratsam, nichts mit einer Verbindung zum Strohmann mitzuführen. Es ist auch sehr wichtig, Ihren Namen, Ihre Anschrift oder das (vermeintliche) Geburtsdatum nicht zu geben oder irgendeine Form von Ausweis zu zeigen, den das bringt Sie in eine Position freiwilliger Unterwerfung durch : (a) das Gehorchen eines Befehls eines Menschen (der Ihnen gleich steht) und/oder (b) das selbstständige Assoziieren mit, und damit repräsentieren, eines Strohmanns, der automatisch durch alle Statuten gebunden ist und selbst eine juristische Fiktion und ein Teil der fiktionalen Welt. Deshalb, wenn kein Fahrgast mitfährt, der für die Reise bezahlt, und Sie sind nicht auf der Reise sind und dabei Station machen, um Sachen zu verkaufen, oder Sie keinen Strohmann transportieren, dann Sie sind kein „Fahrer“ mit einem „Fahrgast", sondern stattdessen sind Sie ein „Reisender" mit einem „Gast", wenn Sie von einem Menschen begleitet werden, der keine „Person" ist, und der keinen Strohmann mit sich trägt. Reisende brauchen keinen Führerschein.
Art. 146 (BETRUG)
1 Wer in der Absicht, sich oder einen andern unrechtmässig zu bereichern, jemanden durch Vorspiegelung oder Unterdrückung von Tatsachen arglistig irreführt oder ihn in einem Irrtum arglis-tig bestärkt und so den Irrenden zu einem Verhalten bestimmt, wodurch dieser sich selbst oder einen andern am Vermögen schädigt, wird mit Freiheitsstrafe bis zu fünf Jahren oder Geld-strafe bestraft.
2 Handelt der Täter gewerbsmässig, so wird er mit Freiheitsstra-fe bis zu zehn Jahren oder Geldstrafe nicht unter 90 Tagessät-zen bestraft.
3 Der Betrug zum Nachteil eines Angehörigen oder Familienge-nossen wird nur auf Antrag verfolgt.
Art. 156 (ERPRESSUNG)
1. Wer in der Absicht, sich oder einen andern unrechtmässig zu bereichern, jemanden durch Gewalt oder Androhung ernstlicher Nachteile zu einem Verhalten bestimmt, wodurch dieser sich selber oder einen andern am Vermögen schädigt, wird mit Frei-heitsstrafe bis zu fünf Jahren oder Geldstrafe bestraft.
2. Handelt der Täter gewerbsmässig oder erpresst er die glei-che Person fortgesetzt,
so wird er mit Freiheitsstrafe von einem Jahr bis zu zehn Jahren bestraft.
3. Wendet der Täter gegen eine Person Gewalt an oder be-droht er sie mit einer gegenwärtigen Gefahr für Leib und Leben, so richtet sich die Strafe nach Artikel 140.
4. Droht der Täter mit einer Gefahr für Leib und Leben vieler Menschen oder mit schwerer Schädigung von Sachen, an de-nen ein hohes öffentliches Interesse besteht, so wird er mit Frei-heitsstrafe nicht unter einem Jahr116 bestraft.
Art. 181 (Nötigung)
Wer jemanden durch Gewalt oder Androhung ernstlicher Nach-teile oder durch andere Beschränkung seiner Handlungsfreiheit nötigt, etwas zu tun, zu unterlassen oder zu dulden, wird mit Freiheitsstrafe bis zu drei Jahren oder Geldstrafe bestraft.
Art. 183 (Freiheitsberaubung und Entführung)
1. Wer jemanden unrechtmässig festnimmt oder gefangen hält oder jemandem in anderer Weise unrechtmässig die Freiheit entzieht,
wer jemanden durch Gewalt, List oder Drohung entführt,
wird mit Freiheitsstrafe bis zu fünf Jahren oder Geldstrafe be-straft.
2. 2. Ebenso wird bestraft, wer jemanden entführt, der urteilsunfä-hig, widerstandsunfähig oder noch nicht 16 Jahre alt ist.
Art. 287 (Amtsanmassung)
Wer sich in rechtswidriger Absicht die Ausübung eines Amtes oder militärische Befehlsgewalt anmasst, wird mit Freiheitsstrafe bis zu drei Jahren oder Geldstrafe bestraft.
Art. 312 (Amtsmissbrauch)
Mitglieder einer Behörde oder Beamte, die ihre Amtsgewalt missbrauchen, um sich oder einem andern einen unrechtmässi-gen Vorteil zu verschaffen oder einem andern einen Nachteil zuzufügen, werden mit Freiheitsstrafe bis zu fünf Jahren oder Geldstrafe bestraft.
Art. 314(Ungetreue Amtsführung)
Mitglieder einer Behörde oder Beamte, die bei einem Rechtsge-schäft die von ihnen zu wahrenden öffentlichen Interessen schädigen, um sich oder einem andern einen unrechtmässigen Vorteil zu verschaffen, werden mit Freiheitsstrafe bis zu fünf Jahren oder mit Geldstrafe bestraft. Mit der Freiheitsstrafe ist eine Geldstrafe zu verbinden.282
Die Freiheit des Einzelnen als ‚geistig-sittliches Wesen‘!
Eine Schachmatt Erklärung an die Regierenden - juristischer Aufsatz von Joe Kreissl!! !
Viele Menschen sehen sich zur Zeit mit der Tatsache konfrontiert, dass sie einerseits zwar ihrerseits als ‚Mensch’ wahrgenommen werden wollen und dies auch in allen Facetten kommunizieren, das ‚System‘ aber immer nur die juristische Fiktion der ‚Person’ sieht, und andererseits der ‚Systembedienstete‘ meistens kaum bis gar nicht versteht, was der Mensch vor ihm nun eigentlich damit meint und ihn vielleicht sogar in die fatale Mühle der Zwangspsychiatrie, bzw. Sachwalterschaft oder sonstiger ‚Zwangsmassnahmen’ zu zwingen versucht. Immerhin „leben wir ja hier in einem Rechtsstaat und es gibt Gesetze und überhaupt man kann ja eh auswandern und man braucht ja nur bei der nächsten Wahl was ändern, und da kann man leider auch nichts machen, das ist halt so, entweder Sie bezahlen das oder ich muss Sie leider, und … usw.“! ! Deshalb fasse ich hier in - zumindest beabsichtigter - juristischer Klarheit kurz zusammen, warum meines Erachtens und meiner ‚rechtswissenschaftlichen‘ Schlussfolgerung nach das ‚System‘, der ‚Rechtsstaat‘, die ‚Republik‘, der ‚Bund‘, oder wer oder was auch immer NICHT zuständig sind für die Durchsetzung oder Verwirklichung allfälliger ‚staatlicher’ Statuten, Normen, Regeln, etc. des so genannten ‚positiven Rechts‘ gegen Menschen, welche sich dem Staat gegenüber als geistigsittliche Wesen zu erkennen geben. Ich bediene mich hierfür
der juristischen Wort-Definitionen aus dem ‚Juristischen Wörterbuch‘ von Gerhard Köbler, 14. Auflage Verlag Vahlen. (ISBN: 978-3-8006-3415-6). Ich möchte an dieser Stelle einen herzlichen Gruss an Gerhard Köbler hinterlassen und ihm gleichzeitig noch einmal meinen Respekt für sein Wirken, sowie meinen nochmaligen Dank für das äusserst anregende Gespräch im Mai 2014 aussprechen. Ihr Buch ist womöglich ein grösserer Segen für die Menschen auf der Suche nach Freiheit, als für die angehenden ‚Juristen‘ auf dem Weg zur ‚Karriere‘. Vielen Dank!! ! Das juristische Wörterbuch und seine Definitionen, also die ‚Abgrenzungen‘ der Bedeutungen dient hier lediglich dem Vermeiden von Interpretationskonflikten mit den Juristen unter Euch. Das ist immerhin Euer Wörterbuch. So steht’s da drin, so ist es gemeint. Da brauchen wir nicht um ‚Weltanschauungen herumzuphilosophieren‘.!
Ich beginne also einfach einmal mit der juristischen Definition von ‚Person‘ und ‚Mensch‘. Immerhin sagen ja so viele „Ich bin nicht die Person, ich bin der Mensch!“ Dummerweise ist das für das Rechtssystem genau das Selbe. Die natürliche Person IST der Mensch. Das wissen die armen Menschen aber nicht, die einfach nur ‚Mensch‘ sein wollen… daher dieser Aufsatz. Ich möchte damit beiden ‚Seiten‘ helfen im ‚Verständnis des Missverständnisses‘. Gleichzeitig auch noch schnell meinen Dank an Dich, lieber Leser für die Bereitschaft, dies überhaupt zu lesen. In der heutigen Zeit bedeutet das schon etwas… und dafür danke ich Dir. Es kann ja auch durchaus sein, dass Dich dieser Aufsatz vor schwerwiegenden Konsequenzen bewahrt. Oder, dass Du ihn als totalen Schwachsinn abtust, ignorierst, was auch immer - das steht Dir ja dann frei… Du hast ja sicher schon viel komisches Zeugs gelesen, da spielt dieser Aufsatz auch keine grosse Rolle mehr. Lies ihn einfach und entscheide dann Du. Ich bringe hier nur die juristischen Fakten und Argumente. Die Konsequenzen für sein Handeln trägt jeder selbst. Also, los!! ! ‚Person ist wer Träger von Rechten und Pflichten sein kann. Natürliche Person ist der Mensch und zwar von der Vollendung seiner Geburt bis zu seinem Tod.‘ (Def. ‚Person‘ S. 309)! ! Bedeutet das dann aber auch, dass der Mensch natürliche Person ist, oder stimmt die Gleichung nur in die eine Richtung ‚von der Person zum Menschen…‘?! !
‚Mensch ist das mit Verstand und Sprachvermögen begabte Lebewesen von seiner Geburt bis zu seinem
Tod. Der Mensch steht im Mittelpunkt des von ihm gestalteten Rechts. Er hat bestimmte grundlegende Rechte gegenüber dem Staat.‘ (Def. ‚Mensch‘ S. 273)! ! Bemerkenswert in dieser Definition ist, dass der Mensch einerseits keine Person ist, sondern ein ‚Lebewesen’ und eindeutig juristisch definiert nicht IM Staat ist, sondern dem Staat GEGENÜBER steht. Nur dann kann er ‚gegenüber‘ dem Staat Rechte haben. Erst die Mitgliedschaft im Staat löst sein Verhältnis mit dem Recht aus.! ! ‚Staatsangehörigkeit ist die Mitgliedschaft eines Menschen in einem Staat. Die Staatsangehörigkeit ist ein öffentlich-rechtliches Rechtsverhältnis, aus dem Rechte und Pflichten erfließen.‘ (Def. ‚Staatsangehörigkeit‘ S. 388)! ! Wie kann ein Mensch Mitglied werden? Für eine ‚Mitgliedschaft‘ braucht der Mensch eine so genannte ‚Person‘, den einzelnen ‚Angehörigen einer Personengesamtheit‘.! ! ‚Mitglied ist der Angehörige einer Personengesamtheit.‘
(Def. ‚Mitglied‘ S. 278)! ! ‚Mitgliedschaft ist das Rechtsverhältnis einer Person zur Personengesamtheit. Die Mitgliedschaft begründet Rechte und Pflichten. Sie ist vielfach ein höchstpersönliches Recht, in anderen Fällen aber auch ohne Weiteres veräußerlich und vererblich.‘ (Def. ‚Mitgliedschaft’ S. 278)! ! Jeder Mensch hat die Möglichkeit, auf etwas zu verzichten. Der FreemanGedanke ist es, bei gleichzeitigem Sich-Bekennen zur geistigen Sittlichkeit einfach auf das komplette positive Recht zu verzichten. Dadurch wechselt der Mensch aus seinem freien souveränen Willen heraus vor dem Rechtssystem seine eigene Rolle und ist ab diesem Zeitpunkt von eben diesem Rechtssystem sogar als IMMUN nicht nur zu betrachten, sondern auch zu behandeln. Warum? Weil für das Rechtssystem an sich erst ab jetzt die so genannten Menschenrechte zur Geltung kämen.
Erst wenn der Mensch aus dem Personenstatus heraustritt, die Verfassung des Staates hinter sich lässt und in den ‚Status‘ von ‚nach der Verfassung‘, also ‚hinterher‘ geht, hätte er den Anspruch auf all diese Rechte, wie Wohnung, Gesundheit, Kleidung, Arbeit, Bildung, Nahrung, etc… all das, was auch die ‚Republik Österreich’ mit der ‚Charta der Europäischen Union‘ im März 2012 sogar in ihren eigenen ‚Verfassungsrang’ gehoben hat. Dieser Aufsatz ist mit ein Versuch, die Republik wieder in die Pflicht zu rufen. Die Pflicht nämlich, Verletzungen der Menschenwürde eines erklärten ‚Freeman’, ‚Souverän’, ‚freien Bewohners der Erde’, etc. verhindern zu müssen und nicht selbst zu verursachen.!
‚Menschenwürde ist der innere und zugleich soziale Wertanspruch, der dem Menschen um seinetwillen zukommt. Die Menschenwürde besteht darin, dass der Mensch als geistig-sittliches Wesen von Natur darauf angelegt ist, in Freiheit und Selbstbewusstsein sich selbst zu bestimmen und in der Umwelt auszuwirken.
Die Menschenwürde ist unantastbar. Daraus folgt, dass einerseits die Würde des Menschen NACH der Verfassung der höchste Wert und damit der Mittelpunkt des Wertesystems ist und andererseits der Staat ausschliesslich um des Menschen willen da ist und Verletzungen der Menschenwürde verhindern MUSS.‘ (Def. ‚Menschenwürde‘ S. 274)! ! Das wirklich entscheidende Wort in dieser Definition ist das unscheinbare Wörtchen ‚als‘, da wo es heisst: „…der Mensch ALS geistig-sittliches Wesen…“ Das Rechtssystem erkennt nämlich eindeutig und sehr wohl an, dass der Mensch von Natur aus ein freies , selbstbestimmtes Lebewesen ist. Und als solches steht er natürlich und ebenso selbstverständlich weit über seinem eigenen System ‚Rechtsstaat‘. Als geistig-sittliches Wesen halt.! !
Was ist aber eigentlich mit ‚geistiger Sittlichkeit‘ gemeint? Wie, bzw. wann ist der Mensch ‚geistigsittliches Wesen‘?! ! ‚Sittlichkeit (Moral) ist die Gesamtheit der inneren auf die Gesinnung bezogenen Verhaltensnormen. Sittliches Verhalten ist das auf das Gute um seiner selbst willen gerichtete Verhalten. Die Ausrichtung am Gewissen und am Guten unterscheidet die Sittlichkeit vom Recht. in Konfliktlagen zwischen Recht und Sittlichkeit verlangt das Recht grundsätzlich Rechtsgehorsam, berücksichtigt aber die Anforderungen der Sittlichkeit durch Milderung der Rechtsfolge des Rechtsbruchs.‘
(Def. ‚Sittlichkeit‘ S. 379)! ! Wie bitte?! ‚Die Ausrichtung am Gewissen und am Guten unterscheidet die Sittlichkeit vom Recht.‘ ! !
Dieser Satz ist einer DER Schlüsselsätze im Verständnis darüber, warum ein ‚Freeman‘ auf das positive Recht verzichtet! Und das kann ihm niemand verbieten. Weil es nicht ‚geregelt’ ist. Es steht in keinem ‚Gesetz’, dass der Mensch nicht auf das komplette Recht verzichten dürfe. Abgesehen davon, dass man einem Menschen nicht verbieten kann, auf etwas zu verzichten, sei hier der Rechtsgrundsatz ‚Nulla Poena sine Lege‘ angeführt, welcher besagt, dass man Jemanden nicht für etwas bestrafen darf, was nirgendwo steht.! ! Der Rechtsstaat kann sich folglich gar nicht am Gewissen und am Guten ausrichten und steht somit der geistigen Sittlichkeit per definitionem tatsächlich gegenüber. Das liest sich aus der Definition vom Rechtsstaat.! !
‚Rechtsstaat ist der auf die Verwirklichung von Recht ausgerichtete Staat….‘ (Def. ‚Rechtsstaat‘ S. 344)! !
Für die Realisierung dieser ‚Verwirklichung von Recht’ muss man den Menschen in eine andere Rolle als die des ‚geistig-sittlichen Wesens‘ drängen, bzw. locken. Anders wäre es nicht möglich, ihn zu beherrschen, zu regieren, zu besteuern, zu bestrafen, etc… Intern zwingt sich das Rechtssystem generell selbst dazu, dem Menschen diese andere Rolle direkt ‚anzuvermuten‘. Da nämlich, wo es im §16 ABGB heisst:! ! ‚Jeder
Mensch hat angeborne, schon durch die Vernunft einleuchtende Rechte und ist daher als eine Person zu betrachten.‘! ! Darin wird bestätigt, dass der Mensch keine Person ist, sondern lediglich ALS eine solche betrachtet wird. Er wird also vor dem und für das Rechtssystem zur ‚Betrachtung’. Der Grund dafür sind laut Begründung seine ‚angebornen Rechte‘, welche angeblich schon durch die Vernunft einleuchten. (Anmerkung: keine Pflichten…) Das Wort ‚angeborn‘ löst hier die erste Verwirrung aus. Entweder, es handelt sich um eine alte Schreibweise, oder das Wort gibt es gar nicht. Es müsste eigentlich ‚angeboren‘ heissen. Und selbst dann ist noch nicht klar, wie man Rechte , angeborn bzw. angeboren bekommt und welche Rechte das dann eigentlich in Wahrheit sind. ‚Angeborne‘ Rechte können in diesem Zusammenhang nämlich ausschliesslich die positiven bürgerlichen Rechte des Systems sein. Niemals dürfte man hier - als Begründung für die Betrachtung - die überpositiven ‚Rechte‘ des Lebens im Universum damit meinen. Diese stehen über allen Wesen und sind daher weit ausserhalb jeglicher Reichweite des Rechtspositivismus. Die können nicht gemeint sein, weil sie nicht zur Verfügung stehen. Es können nur die Rechte gemeint sein, die der Mensch mit seiner Geburt mittels Staatsbürgerschaft vom System geschenkt, respektive angeboten oder zugeteilt bekommt.! Die zweite Verwirrung löst die Formulierung ‚schon durch die Vernunft einleuchtende Rechte‘… aus. Ich behaupte einfach einmal, dass die meisten Rechte schon lange nicht mehr vernünftig erscheinen und werde mich in diesem Aufsatz nicht weiter der Problematik ‚Vernunft‘ vs. ‚Verstand‘ widmen.
Das machen wir ein anderes Mal…! ! Es liegt also scheinbar ausschliesslich an dem kleinen Wörtchen ‚als‘,
ob der Mensch frei ist oder den Zinssklaven spielen muss. Es ist eine Rolle, die er sich - immerhin ist Sklaverei nicht gestattet - Selbst mit seinem freien Willen für sich zuteilt. Bleibt nur mehr die Frage, ob er sich dessen auch bewusst ist. Da nämlich, wo es um seine ‚Identität‘ geht. Da, wo er sich mit seiner ‚Betrachtung‘ zu ‚identifizieren‘ beginnt, … da, wo er sein natürliches Wesen verlässt. Allein schon die Bezeichnung ‚Identität‘ sagt einem doch schon, dass es mindestens zwei Exemplare von etwas geben muss. Um nämlich das Wort ‚identisch‘ überhaupt verwenden zu können, muss es mindestens zwei Exemplare von was auch immer geben. Der Mensch ist nicht identisch, weil es im ganzen Universum keine zwei identischen Lebewesen gibt. Das Leben ist authentisch. Einzigartig und aus sich selbst heraus. Sui generis.! ! Der ‚Freeman‘, also der Mensch, der das positive Recht verlassen hat, hat aufgehört, sich zu ‚identifizieren‘. Er AUTHENTIFIZIERT sich stattdessen nur mehr. Zuerst durch ‚Verstand und Sprachvermögen‘, dann durch
sein Bekennen zur geistigen Sittlichkeit. Und ein Mensch, der sich dem Guten und dem Gewissen verschreibt, ist alleine schon deswegen keine Bedrohung mehr für etwas oder jemand. Weshalb sich auch die rechtsstaatliche Notwendigkeit jedweden Schutzes von etwas oder jemand vor dem geistig-sittlichen Wesen aufhebt. Der Freeman untersteht höherem ‚Recht‘ als dem positivem. Hier erinnere ich an den Rechtsgrundsatz ‚Lex superior derogat legi inferiori‘, welcher besagt, dass das ‚grössere Gesetz das kleinere bricht‘. Überpositives Recht bricht positives Recht. Das kann man ganz einfach beweisen. Es wirkt und ist auch dann noch, wenn es im positiven Recht bei Strafe verboten wäre. ! ! Überpositives Recht ist absolut und dem Menschen, so wie allen Wesen übergeordnet. Es IST. EWIG. Positives, vom Menschen gemachtes Recht IST nicht, es GILT nur.! Die ‚Grundnorm‘ selbst ist ja schon ‚Fiktion‘. Nachzulesen bei Hans Kelsen, Allgemeine Theorie der Normen, 1979, S. 206 f., bzw. in den Schriften von Alfred Verdroß-Droßberg. ! !
‚Fiktion (Erdichtung) ist der Rechtssatz, der eine in Wahrheit nicht bestehende Tatsache als bestehend behandelt. Die Fiktion kann im Gegensatz zur Vermutung nicht durch Gegenbeweis entkräftet werden.‘
(Def. ‚Fiktion‘ S. 146)! ! Das bedeutet, dass bei einer Fiktion und damit auch beim jeglichem ‚Recht‘ von Anfang an klar ist, dass es sich um eine Erdichtung handelt. Wäre das Recht eine Vermutung, dann könnte es ironischerweise sogar gegeben sein.! ! ‚Vermutung ist die Annahme eines Umstands als wahrscheinlich gegeben….Im Gegensatz zur Fiktion kann bei der Vermutung der vermutete Umstand gegeben sein.‘ (Def. ‚Vermutung‘ S. 452)! ! Lieber Leser, lieber ‚Beamter‘ (der eigentlich Bediensteter ist), liebes sprachbegabte verständige Wesen auf der Suche nach Freiheit, alles Recht ist Fiktion. Das ist eine nicht zu leugnende Tatsache - auch für das Rechtssystem selbst. Wer das als Jurist negiert, sollte über seine ‚Zulassung‘ nachdenken oder diese in Frage gestellt bekommen. Ganz ernsthaft. Wir befinden uns in einer Zeit des offensichtlichen globalen Wahnsinns. Die Welt liegt in Flammen und schwimmt in Blut. Überall Krieg, Elend, Armut, Krise, Neid, Gier, Angst, Schuld, Terror, Zwang,… Und der Mensch klammert sich an ein System, das - da es sich nicht am Guten und am Gewissen ausrichtet - alleine schon ‚karmisch‘ dem Untergang geweiht ist.! ! Myriaden von so genannten ‚Experten‘ beschmeissen uns täglich mit neuen Zwangstaktiken gegen die Auswirkungen eines Spiels, das die Menschen ganz legal und ‚von rechts wegen’ gegeneinander aufhetzt
und losschickt. Eigentlich und offensichtlich gar nicht mehr zu dem Zweck, dass es den Menschen in ihrem System besser geht, sondern nur mehr um Geld zu verdienen, Steuern oder Staatsschulden zu bedienen, Zinsen oder Profit zu erwirtschaften.! ! Das ist nicht mehr sehr vernünftig! Und alleine schon aus dieser groben Unvernunft heraus MUSS der erwachsene Mensch sein System irgendwann in Frage stellen und sich Gedanken über Alternativen machen. Es sollte sich ja auch mittlerweile herum gesprochen haben, dass der Freeman sehr wohl FÜR ein ‚System‘ ist. Oh ja! Unbedingt. Aber ein System, das dem Menschen dient. Nicht eines, dem der Mensch zu dienen hat. So eine Erfindung erfüllt ihren wesentlichen Zweck nicht. Nämlich
den, dass die Erfindung IMMER dem Erfinder dienen muss, nicht umgekehrt. Der Freeman wünscht jedem Menschen genau das System, das dieser - als geistigsittliches Wesen - selbst gerne hätte. So einfach. Wir brauchen uns nicht gegenseitig vorzuschreiben, was keinen anderen was angeht. Es genügt, wenn das System der Menschheit genau die Bedürfnisse aller befriedigt. Und zwar nicht auf Kosten, sondern zu Gunsten aller Beteiligten. Das wäre sofort realisierbar. Warum nicht?!
Unserer Phantasie und unserem Einfallsreichtum sind keine Grenzen gesetzt. Es wäre dafür im Prinzip nur ein bisschen Verantwortungsgefühl und Wissen gefragt. Einen Teil vom Wissen versuche ich zu vermitteln. So einfach wie möglich, in ehrlichster Absicht und auf der Suche nach Wahrheit. Die Verantwortung liegt natürlich schlussendlich bei jedem Einzelnen selbst. Da hört ja dann auch die Meine auf. Ich habe mich die letzten Jahre durch riesige Gebiete des Rechtssystems gelesen, ich hab’ nachgedacht, philosophiert, analysiert, kombiniert, diskutiert, formuliert, referiert, … und studiert, wie die Mechanismen des Rechtssystems den Menschen in der ‚Gerichtsbarkeit’ halten. Denn alles, was auf dieser Welt passiert, passiert FREIWILLIG!. Das ist das Erschreckende. Aber das ist nur deswegen möglich, weil quasi keiner der Teilnehmer weiss, wo der freie Wille begonnen hat. Immerhin schreit beinahe die ganze Welt laut und verzweifelt um Hilfe. Keiner weiss, dass er selbst es ist, der sich dem System mittels seiner Identifikation
mit der Person zur energetischen Ausbeutung ‚hingibt‘. ! ! Nachdem ich das erkannt hab’, war ich kurzfristig meinen ‚Ängsten‘ ausgesetzt, was eine wunderbare Erfahrung darstellte, bis mir klar wurde, dass es im JETZT keine Angst gibt. Da gibt es nur die Liebe zum Leben. Angst reisst uns in die Zukunft, Schuld in die Vergangenheit, beide sind nicht echt… und dann hab’ ich - in dem Bewusstsein, über das was tatsächlich und rein juristisch ‚passiert‘ - per ‚Freeman-Erklärung‘ an die ‚Regierung‘ das ‚Bundesgebiet‘ also das Staatsgebiet der ‚Republik Österreich‘ verlassen. Ich hab’ die Mitgliedschaft im Staat gekündigt. Ich hab’ aufgehört, für die ‚Republik Österreich‘ zu bürgen. Einseitig und empfangsbedürftig.! ! ‚Kündigung ist die
auf die Beendigung eines Schuldverhältnisses (Dauerschuldverhältnisses) gerichtete empfangsbedürftige Willenserklärung. Sie ist ein einseitiges Rechtsgeschäft.…‘ (Def. ‚Kündigung‘ S. 252)! !
Würde man als Unbeteiligter darüber urteilen wollen, ob der ‚normale Staatsbürger‘ in der hiesigen Rechtsordnung heute noch zu seinem ‚Recht‘ kommt, sei es gegen die Banken, die Versicherungen, die eigene Verwaltung, usw…, oder ob es nicht etwa der Fall sei, dass vielleicht Lügner an die Spitze gelangt sind, oder ob sich innerhalb der Justiz eventuell Korruption breit gemacht hat, … dann sollte man durchaus über den juristischen Begriff ‚Rechtsbankrott‘ als vermutete reale ‚System-Diagnose‘ zumindest einmal nachgedacht haben.! ! ‚Rechtsbankrott ist das Unvermögen einer Rechtseinrichtung, den Rechtsunterworfenen Recht zu verschaffen. Eine Rechtseinrichtung offenbart beispielsweise Rechtsbankrott, wenn sie Lügner an die Spitze gelangen lässt, Schmierer zu Schriftführern macht, Betrüger zu Kassierern, Fälscher zu Protokollanten, Hochstapler zu Beisitzern und Erpresser zur Rechtsaufsicht. Eine Besserung verspricht unter solchen Umständen allein die vollständige Rückkehr zu allgemein anerkannten Werten (z.B. Wahrheit, Freiheit) und Rechtsgrundsätzen.‘ (Def. ‚Rechtsbankrott‘ S. 336)! ! ‚Wahrheit ist der mit Gründen einlösbare und insofern haltbare Geltungsausspruch über einen Sachverhalt. Die Wahrheit ist die Grundlage der Freiheit. Sie wird verletzt vor allem vom Lügner, Fälscher, Hochstapler und Betrüger.‘ (Def. ‚Wahrheit‘ S. 481)! ! ‚Freiheit ist allgemein die Möglichkeit der uneingeschränkten Entfaltung. Ihre geistige Voraussetzung ist die (vom Lügner unredlicherweise verlassene) Wahrheit. (lat. in veritate libertas) …’ (Def. ‚Freiheit‘ S. 153)! ! Ich habe auf den offensichtlichen Rechtsbankrott der ‚Republik Österreich‘ in der Art und Weise reagiert, dass ich mich durch ‚totalen positiven Rechtsverzicht’ in das überpositive Recht zurückgezogen habe. Freiwillig und selbstbestimmt. In Sorge um die künftigen Generationen auf diesem wunderschönen Planeten. Nicht nur die der Spezies ‚Mensch’. Ich spreche von ALLEN! Wir sind hier wirklich und in Echt für etwas verantwortlich, nämlich für das, was wir als Menschen mit dem Leben auf diesem Planeten aufführen. Wir bezeichnen uns ja sogar selbst als so etwas wie die ‚Krone der Schöpfung‘.
Ich hab‘ also das Recht gegen die Sittlichkeit getauscht und bin schon allein infolge dieser Tatsache nicht mehr gemäß §16 ABGB als meine Person zu betrachten, sondern ALS geistig-sittliches Wesen. Ich stehe seit dem im Naturrecht. In der Wahrheit und damit in der Freiheit. In DER Freiheit, die das Rechtssystem jedem Menschen als geistigsittlichem Wesen eigentlich sogar bereits reservierte und vorbehielte, stünde ihr nicht die bisherige, allgegenwärtige juristische IGNORANZ gegenüber all diesen hier zusammengetragenen Tatsachen seitens der Systembediensteten im Wege. ! ! Ich weiss, dass dieser ‚Aufsatz‘ ein wenig zur
Lösung bzw. zur Aufklärung dieses traurigen Missverständnisses beitragen wird. Und, dass Du, lieber Leser einer von denen bist, die zumindest einmal bis hierher gelesen haben. Und, dass Du Dir auch die entsprechenden weiteren eigenen Gedanken über das alles machen kannst. Informier’ Dich bitte! In Deinem eigenen Interesse übrigens. Denn nur einmal angenommen, das was hier steht, erweist sich als ‚unwiderlegbar‘,
wer wäre dann auf einmal wirklich verantwortlich für das ganze ‚Unrecht‘, das all den Menschen jeden Tag angetan wird? … Richtig. Immer genau der, der das Unrecht unmittelbar ausführt oder antut. Also der
Letzte in der ‚Nahrungskette‘ der Befehlsempfänger. Der, der’s schliesslich tut. Nicht Der, der’s befiehlt oder in dessen Namen etwas geschieht. Jeder Mensch ist für sein Handeln immer SELBST verantwortlich. Da, wo
das positive Recht nicht hinreicht, da ist jeder selbst verantwortlich für sein Handeln. Da hört man dann auf mit dem Streiten aus Prinzip, da redet man wieder miteinander…! ! Abschliessend möchte ich mich noch
kurz zur rechtshistorisch vielfach diskutierten ‚Volksmermutung‘ in der ‚österreichischen Bundesverfassung‘ äussern.! ! Der Langtext der so genannten ‚österreichischen Bundesverfassung‘ lautet: ‚Gesetz vom 1. Oktober 1920, womit die Republik Österreich als Bundesstaat eingerichtet wird…‘ Daraus folgt, dass es sich bei ‚Österreich‘ tatsächlich um nichts anderes als eine ‚Rechtseinrichtung‘ handelt. Diese Rechtseinrichtung befindet sich nun aber einerseits offensichtlich im Rechtsbankrott und wurde andererseits offenbar grob vorsätzlich mangelhaft ‚eingerichtet‘.
Da nämlich, wo man laut der ‚Drei-Elemente-Lehre‘ zur Einrichtung eines Staates die drei Säulen ‚Staatsvolk‘, ‚Staatsgebiet‘ und ‚Staatsgewalt‘ gebraucht hätte. Mangels eines solchen Staatsvolkes geht man im BundesVerfassungsgesetz einfach einmal aus davon. Im Sinne einer Vermutung.! ! §1 B-VG ‚Österreich ist eine demokratische Republik. Ihr Recht geht vom Volk aus.‘! !
Wer also in seiner Rechtseinrichtung an alles gedacht hat, dem aber nur noch sein ‚Staatsvolk‘ fehlt, der könnte ja rein theoretisch und womöglich auch faktisch mit sich selbst ausmachen, dass er sein Staatsvolk juristisch ‚vermutet‘. Schliesslich muss sich ja die Rechtsordnung ohnehin am Ende lediglich ‚durchgesetzt‘ haben, würde man einen Staat ‚einrichten‘ wollen.! ! ‚Staat ist die auf Dauer berechnete Zusammenfassung einer grösseren Anzahl von Menschen (Staatsvolk) auf einem bestimmten Teil der Erdoberfläche (Staatsgebiet) unter Regelung aller für deren gemeinschaftliches Leben notwendigen Belange durch einen innerhalb der Gemeinschaft obersten Willensträger (Staatsgewalt), FALLS sich die von diesem Willensträger aufgestellte Ordnung tatsächlich durchgesetzt hat und keinem völkerrechtswidrigen Zweck dient….‘ (Def. ‚Staat‘ S. 387)! ! Der Beweis für die eindeutige ‚Volksvermutung‘ in der Formulierung des §1 B-VG liegt in
Wer also in seiner Rechtseinrichtung an alles gedacht hat, dem aber nur noch sein ‚Staatsvolk‘ fehlt, der könnte ja rein theoretisch und womöglich auch faktisch mit sich selbst ausmachen, dass er sein Staatsvolk juristisch ‚vermutet‘. Schliesslich muss sich ja die Rechtsordnung ohnehin am Ende lediglich ‚durchgesetzt‘ haben, würde man einen Staat ‚einrichten‘ wollen.! ! ‚Staat ist die auf Dauer berechnete Zusammenfassung einer grösseren Anzahl von Menschen (Staatsvolk) auf einem bestimmten Teil der Erdoberfläche (Staatsgebiet) unter Regelung aller für deren gemeinschaftliches Leben notwendigen Belange durch einen innerhalb der Gemeinschaft obersten Willensträger (Staatsgewalt), FALLS sich die von diesem Willensträger aufgestellte Ordnung tatsächlich durchgesetzt hat und keinem völkerrechtswidrigen Zweck dient….‘ (Def. ‚Staat‘ S. 387)! ! Der Beweis für die eindeutige ‚Volksvermutung‘ in der Formulierung des §1 B-VG liegt in
der Tatsache, dass das ‚Recht‘, welches sich mehr und mehr über den Menschen zu erheben versucht, niemals zuvor beim Volk gewesen sein kann, für den Fall, man würde die These vertreten, das Recht ‚käme‘ vom Volk. Kein Mensch hat als ‚Teil des Volkes‘ das Recht, einem anderen Menschen etwas ‚wegzunehmen‘. Nicht seinen Besitz, nicht sein Eigentum, nicht seine Gesundheit, nicht seine Würde, nicht seine Freiheit, … gar nichts! Wer also behauptet, er käme im ‚Namen des Volkes‘ und dürfte uns auf dieser ‚Rechtsgrundlage’ etwas wegnehmen, seien es ‚Steuern‘ oder ‚Fahrnisse‘ oder ‚Zinsen‘ oder ‚Pflichtversicherungen‘, oder ‚Strafen‘, oder ‚Gebühren‘, … , der kann niemals von den Menschen dazu autorisiert worden sein. Weil kein Mensch dieses Recht jemals gehabt hat und es daher auch nicht delegieren, autorisieren, erlauben,
befehlen, was auch immer hätte können. Es ist nicht möglich, etwas zu delegieren oder herzugeben, worüber man nicht verfügen kann. ! !
Aus all diesen Gründen verlässt der Freeman per ‚Einschreiben‘ ganz einfach das ‚Staatsgebiet‘, wechselt die Rolle und lebt als geistig-sittliches Wesen in Frieden mit allen weiter. Wäre da nicht dieses letzte juristische Missverständnis. Da nämlich, wo das Zusammenleben in einem ‚Gebietskonflikt‘ dahingärt. ‚Gebietskonflikt‘ deswegen, weil immer alle glauben, das Staatsgebiet hätte etwas mit dem Erdboden da draussen zu tun. Das Staatsgebiet kann schon allein aus der juristischen Definition von ‚Staatsvolk‘ heraus NICHTS Geographisches sein.! ! ‚Staatsvolk ist die Gesamtheit der Menschen, die sich auf dem Gebiet eines bestimmten Staates befinden und die allein schon infolge dieser Tatsache dessen Staatsgewalt unterstehen. Das Staatsvolk ist das personale Element des Staates. Von ihm geht im demokratischen Staat alle Gewalt aus.‘ (Def. ‚Staatsvolk’ S. 390)! ! Wenn die Gesamtheit der Menschen auf dem Staatsgebiet das Staatsvolk ausmacht, dann dürften jetzt gerade alle Touristen wählen gehen… dem ist natürlich nicht so. Und daher stimmt die obige Definition nur dann schlüssig, wenn man dem Staatsgebiet die geographische Wirklichkeit nimmt. Deshalb bitte ich zu akzeptieren, dass sich der Freeman NICHT mehr auf Staatsgebiet bewegt, auch wenn er Dir gegenübersteht. Er befindet sich in seinem EIGENEN Gebiet. ! ! Ich nenne dieses Gebiet neuerdings fröhlich und erfreit ‚ERLÖSTERREICH‘. Andere sagen ‚Erde‘, oder ‚Gaia‘, oder ‚Paja Mama‘,… Ich hab’ den ‚bestimmten Teil der Erdoberfläche‘ ‚Österreich‘ juristisch verlassen und bewege mich jetzt auf der ERDFLÄCHE. Auf dem ORIGINAL. ICH BIN.! Erlösterreich, da ist Naturrecht. Keine Grenzen, ein Planet der geistig-sittlichen Freiheit.! ! Ich bitte ausserdem darum, dass wir uns gemeinsam Gedanken darüber
machen, wie wir diese Konflikte jetzt gemeinsam intelligent, erwachsen und für unsere Kinder nachvollziehbar verantwortungsbewusst angehen. Ich bin nicht mehr bereit über all das hier zu streiten. Ich weiche jedoch auch sicher nicht von meinen bisherigen juristischen Schlussfolgerungen ab, zumindest solange nicht, bis man mich nachvollziehbar rational widerlegt.
Ich lade Dich, lieber Leser sogar ganz offen dazu ein, das was ich behaupte zu widerlegen… ich freu mich auf anregende Gespräche.! ! Es ist also - und damit schliesse ich diesen Aufsatz - NICHT ZULÄSSIG, einen Menschen, sobald er sich zur geistigen Sittlichkeit bekennt, als seine Person zu betrachten. Stattdessen ist seine Menschenwürde zu achten und zu schützen. Und er muss sich frei und selbstbewusst selbst
bestimmen und in der Umwelt auswirken können. Der Staat MUSS Verletzungen der Menschenwürde verhindern. Nicht verursachen. Sobald sich jemand zum Freeman, Souverän, Freien Bewohner der Erde, Selbstverwalter, und so weiter erklärt, bedeutet das üblicherweise, dass er sich ins überpositive Recht zurückzieht. Selbst dann, wenn er selbst nicht in der Lage ist, dies dem Rechtssystem gegenüber auch zu artikulieren. Dafür schreibe ich ja diesen Aufsatz. Weil es mir reicht. Ganz einfach. Mir reicht die Ignoranz
auf der ‚Systemseite’. Man hat es Euch nicht beigebracht, liebe Bediensteten. Das ändert aber nichts an den Fakten… ! ! IHR MÜSST UNS IN RUHE LASSEN! Das sind Eure juristischen Tatsachen. In Eurer Sprache. Ihr könnt jetzt nicht mehr sagen, Ihr versteht nicht, wovon wir sprechen.! ! Ich hab’ versucht, juristisch zu erklären, warum das Rechtssystem NICHT für den Menschen zuständig ist, warum er nicht seine Person ist, warum er nicht steuerpflichtig ist, nicht meldepflichtig, usw… ich hab’ versucht zu erklären, dass ich sehr wohl FÜR ein System bin, aber auf jeden Fall für ein Besseres… Für uns ALLE!…, ich hab’ versucht, niemanden zu beschuldigen, sondern einfach nur ‚hinzusehen‘ und ‚schlusszufolgern‘, ich möchte Niemandem etwas Schlechtes, sondern, dass wir endlich damit beginnen, einander zu vergeben und ein wahrhaft lebenswertes neues ‚System‘ zum Glück und zum Wohle Aller anzudenken.
Dazu müssen wir aber ehrlich sein. Zuerst zu uns selbst und dann zueinander. Das Rechtssystem wird uns dabei nicht helfen. Das weiss ich aufgrund von meinem bisschen Lebenserfahrung und meiner Beobachtungsgabe. Ich hoffe, dass meine Worte, meine Gedanken und mein Tun ein bisschen dazu beitragen, dass die Menschen ihre eigene Macht wiederentdecken und auch langsam und neugierig damit beginnen, die Dinge zu hinterfragen und die eigene Meinung zu suchen. ‚Der Mensch ist das mit Verstand und Sprachvermögen begabte Lebewesen von seiner Geburt bis zu seinem Tod.‘ Wir alle sollten auf dem Weg zur Menschlichkeit einander besser ‚verstehen‘ wollen und viel viel mehr miteinander ‚sprechen‘. Ich freu‘ mich darauf und danke Dir aufrichtig für’s Lesen. Und noch viel mehr für’s Nachdenken. In Lak’esh!!
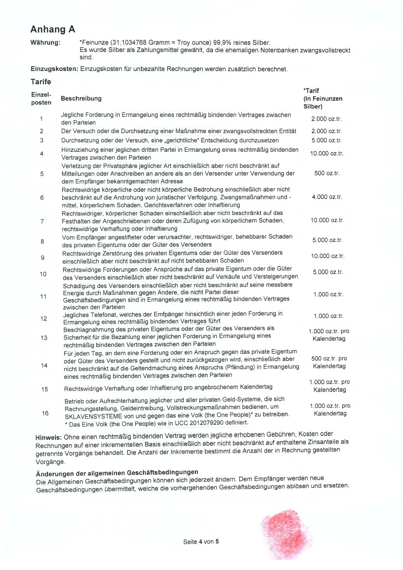
MPewald:schnidrig • „ Fichtenweg 10 “ • c/o [9470] „ Buchs SG “
Angebliches Steueramt Stadt Buchs
Rathaus
[9471] Buchs SG
Ihr Zeichen [Steuerveranlagung 2014 Registernummer 5772276)
Ihre Nachricht vom 10. Mai.2016
Unser Geschäftszeichen ES10031955
Datum 12.12.2016
Sehr geehrte Damen,
Sehr geehrte Herren,
Als erstes möchte ich ihnen von Herzen DANKEN für ihr Tun und dass sie damit mit helfen, den Menschen geistig-sittliche Wesen zu spiegeln, dass das „system“ in Wirklichkeit ein Sklavensystem ist, welches gegen die Menschen ist und nicht
FÜR DIE MENSCHEN.
Nach mehreren Schreiben an das sogenannte Steueramt Buchs SG und die Firma SVA in St.Gallen in welchen ich sie über die Fakten informiert hatte, welche sie jedoch ignorierten, erhielten sie in Folge von mir Kulanzschreiben mit meinen AGBs, ein Begleitschreiben der Fakten, eine Aufforderung sich zu legitimieren und eine Beglaubigung zu erbringen, ebenso eine Kopie ihres Amtsausweises (nicht Dienstausweis) zu schicken. Dies hatten sie nicht getan und in Folge erhielt ich von Ihnen Manungen und Pfändungsandrohungen. Sie erhielten auch die UPIK-Auszüge ihrer angeblichen Dienststelle und des Kantons
in dem sie sich befindet, so wie den Auszug des angeblichen Staates für den sie ihre Dienste tun. Wie sie daraus eindeutig erkennen konnten sind alle eingetragen im Weltfirmenverzeichnis und verfügen über eine D-U-N-S Nummer, welche die eindeutige Identifikation eines Firmen-Unternehmens darstellt.
Da nun seit dem 25. Dezember 2012 ALLE Firmen nachweislich und unwiderlegt zwangsvollstreckt sind und bleiben - unwiderruflich - haben sie kein sogenanntes Amt, Behörde oder Staat als Rückendeckung und haften für alles was sie tun in Eigenverantwortung mit ihrem Privatvermögen.
Ihre Meinung dass der UCC in der [Schweiz] nicht gültig ist, ist eine nicht begründete Aussage ihrerseits. Der UCC ist die Bibel des Handels und gilt für alle Firmen und Menschen – Weltweit
Auch der Hauptverantwortliche der sogenannten Firma Steueramt Buchs hat ein Kulanzschreiben erhalten, so wie die Mitarbeitenden. Sie haben auch meine Lebenderklärung erhalten, so wie die FIRMA SVA in St.Gallen. Niemand von euch hat die vielen Schreiben von mir widerlegt oder sich legitimiert, noch ein gültiges Recht vor gewiesen ? Warum wohl ? Ja weil sie es nicht können. Und die Fakten so wie die natürlichen Rechte des Menschen zu ignorieren stellt natürlich KEIN RECHT dar.
Was befürchten sie? Könnte möglicherweise ihre vermeintlich „heile Welt“ ins Wanken kommen ? Das wird sie allerdings auch ohne mich, denn die Geschehnisse finden statt – Weltweit und können von niemandem aufgehalten werden. Aus meiner
- 1 -
Sicht, hatte oder habe ich ihnen und auch sonst keinem Menschen einen Schaden zugefügt. Ich habe niemanden genötigt, beraubt, entführt, bedroht, erschreckt, überfallen, ich habe des weiteren niemandem einen Sachschaden oder Schaden an Leib, Vermögen, Eigentum, Freunden, Familienmitgliedern, Arbeitsstellen zugefügt.
Sollte ich mich irren kann sich der von uns geschädigte MENSCH geistigsittliches Wesen jederzeit mit mir in Kontakt setzen
und ich werde bei einem wirklichen Schaden alles daran setzen, was in meiner Macht steht, um den Schaden wieder gut zu machen. Darunter fallen KEINE illegalen Bussen etc. von FIRMEN. Gerne können sie dann per E-mail: ... Kontakt mit mir aufnehmen und die nötigen Beweise erbringen. Im übrigen Lebe und Tu ich in völliger Transparenz, ich habe/hatte nichts zu (ver)bergen, weil ich nach bestem Wissen und Gewissen nach dem höchsten Gesetz lebe - dem Schöpfergesetz, welches besagt, dass man alles Tun kann solange man keinem Lebewesen einen Schaden zufügt. Zuerst ist das SchöpferRecht – NaturRecht – VölkerRecht – MenschenRecht und erst dann die Bundesverfassung und die FIRMEN rechte gelten nur für PERSONAL, NICHT FÜR SOUVERÄNE FREIE MENS:CHEN.
Sie begründen ihre illegalen Handlungen dürfen sie tun, da sie im Auftrag eines angeblichen Staates tätig sind und für Recht und Ordnung sorgen? Ja dann sollten sie wohl nicht unbescholtene, friedliche Menschen verfolgen.
Nach meinem (Ver)ständnis ist es immer ein Über Fall wenn ich jemanden nicht eingeladen habe und eine Straftat ist es,
wenn etwas gegen oder mit mir getan wird und ich dem nicht zugestimmt hatte/habe oder werde. Ich teile ihnen hiermit nochmals mit, dass ich keiner der Handlungen, Drohungen, Aussagen oder sonstiges zu stimme, nicht zugestimmt hatte und nicht zustimmen werde, nicht FREI WILLIG.
Sie sollten realisieren, dass ich ihnen in keinster Weise unter stehe, sondern Gegenüber.
UCC
Jede zwischen Menschen stattfindende öffentliche oder wirtschaftliche Interaktion oder Handlung geschieht innerhalb des
UCC. Sofern beispielsweise ein Mensch sich verkleidet und sich [POLIZEI] nennt, kann er dies gern und so oft er das möchte auch tun. Er darf aber niemals und zu keiner Zeit einen anderen Menschen ohne rechtgültig zwischen beiden Parteien
geschlossenen Vertrag abwerten, kontrollieren, entführen, ausrau-ben oder sonstige das Sein des Gegenübers mindernde Straftat begehen. So sind in diesem einheitlichen Handelsgesetz alle Verhaltens-regeln für die Interaktion zwischen Menschen festgesetzt. Wer diesen Regel zuwider handelt, macht sich strafbar! Jeder ehemalige und illegal wirkende Söldner, ob [POLIZEI] oder [MILITÄR], ist lediglich ein selbstschuld-nerisch wirkender Mensch, der sich vor dem Gericht des Common Law verantworten muss, so er gegen den freien Willen des Menschen gegen den er agierte, oder gegen UCCGesetz handelt.
Nach geltendem „Recht“ gilt für jeden Menschen die Unschuldsvermutung, heisst so lange eine angebliche Schuld nicht bewiesen ist, keine Gerichtsverhandlung statt fand und kein amtlicher Richter mit seinem vollständigen Vornamen und Familiennamen ein sogenanntes Urteil unter seinem Namen unterschrieben hat, ist jeder Mensch FREI. Bis jetzt wurden ausschliesslich illegale Taten auf Grund von Behauptungen durch gesetzt, ohne jegliche Grundlage. Die von uns gelieferten
- 2 -
Dokumente sind Fakten, welche rechtsgültig registriert sind und von jedermann/frau öffentlich zur Einsicht stehen. Denn nur Transparenz hat nichts zu verbergen.
Ich schicke dieses Scheiben an diverse Stellen (sogenannten Ämter) und werde es zum Schutz und zur Aufklärung
gelegendlich auch veröffendlichen..
Ich bin und bleibe in friedlicher Absicht Unterwegs für die Menschen Geistig-Sittliche Wesen.
Ich wünsche Ihnen alles Liebe.
Mit freundlichen Grüssen
e w a l d
ICH BIN Mensch ... geistig-sittliches Wesen ICH BIN Mensch ... geistig-sittliches Wesen Without, Prejudice UCC 1-308 Ohne Inanspruchnahme der Person.
Nochmals die Link`s zu den wichtigen Informationen an die Mitarbeitenden der [Firma Steueramt Buchs SG und der Firma
SVA St.Gallen]
- Beilage: UCC Einfach erklärt von Arne Freiherr von Hinkelbein:
- DEKLARATION DER LEBENDGEBURT
- DEKLARATION ZU TITELN, ANSPRÜCHE, RECHTSANGELEGENHEITEN
- DEKLARATION ZUR SOUVERENITÄT UND POWER OF ATTORNEY
- DEKLARATION DES POLITISCHEN STATUS
UCC einfach erklärt
Quelle: iuvhelp.wordpress.com
Aufklärung über die UCC–Registratur (Uniform Commercial Code)
Uniform Commercial Code (UCC) zu Deutsch: Einheitliches Handelsgesetzbuch.
UCC war eine von der Kirche nach dem Römischen Recht geschaffene Registratur, mittels derer weltweites Handelsrecht etabliert wurde. Damit war gesichert, dass Körperschaften untereinander Geschäfte betreiben konnten. Der UCC ist die Bibel des Handels. Es beschließt präzise die Art des internationalen Austausches von Gütern und Leistungen. In der Tat dreht sich das gesamte Handelssystem um die UCC-Registratur. Leider wird die UCC-Registratur nicht im Jurastudium gelehrt, es verbleibt im Herrschaftsbereich der Unternehmen und ihrer Funktionäre, die die Angestellten ihrer Rechtsabteilungen lediglich in die für sie erforderlichen UCC-Informationen einweihen, um das Wissen dieses wichtigen Mechanismus „im Haus“ zu belassen.Warum gilt die UCC-Registratur nicht nur in Amerika sondern auch für
- 3 -
Sie und Ihre Institution?Wie Sie gerade erfahren haben ist die UCC-Registratur dafür da, dass Körperschaften international Handel betreiben dürfen. Zu dem internationalen Handel gehören z.B. auch alle Finanzämter, Gemeinden, sogenannte Regierungen und alle Banken… da alle Banken sowieso den Zentralbanken unterliegen und die Zentralbanken unterliegen wiederum der Federal Reserve Bank, die bekanntlich in den USA ist. Viele unwissende Unternehmer und Geschäftsführer beziehen sich immer auf das hier geltende Handelsregister, wissen aber nicht, dass das Handelsregister ebenfalls auf dem
UCC basiert.
Im Übrigen ist die sogenannte SCHWEIZ, mit der D-U-N-S® Nummer 483439811 auch nur ein Unternehmen namens „Schweizerische Eidgenossenschaft“, jetzt „Eidgenössische Bundesverwaltung" und immer noch (06.12.16) Evelin Widmer als Hauptverantwortliche.
Hier eine kleine Liste der (Länder) Unternehmen die sich ebenfalls nach dem UCC richten:
Austria, Finland, Netherlands, Germany, Greece, Belgium, Sweden… um nur einige wenige aus dem europäischen Raum zu nennen. Weitere Informationen entnehmen Sie bitte aus dem Link:Woran erkennt man, dass eine Körperschaft (Bank, Regierung etc.) sich an die UCC-Registratur halten muss?
Alle Körperschaften die internationalen Handel betreiben und sich an den UCC halten müssen, sind mit einer D-U-N-S® Nummer registriert.
D-U-N-S ist die Abkürzung für: Data Universal Numbering System. Eingeführt von Dun & Bradstreet (D&B) ebenfalls aus der USA. Diese D-U-N-S Nummer ist die eindeutige Identifizierung eines Unternehmen. Eine D-U-N-S Nummer wird ausschließlich an gewerbliche Personen oder Unternehmen vergeben. Diese D-U-N-S Nummer wird unter anderem auch von der Europäischen Kommission verwendet.
Was ist neu in der UCC-Registratur und warum schreibe ich Ihnen diese Nachricht?
Wie oben diese schon erwähnt ist es meine Absicht, Ihnen in erster Linie als Mensch gegenüber zu treten. Daher ist Nachricht an Sie, auch als Mensch-zu-Mensch-Nachricht zu verstehen. Des Weiteren dient diese Nachricht als Aufklärung der neuen Gesetzeslandschaft.
Grund- u. Menschenrechte – Strohmann-Prinzip Klausel Schadensersatz bei Verletzung meiner Rechte
Normenhierarchie: Schöpfungsgesetze (10 Gebote), Völkerrecht, Verfassung, dann erst nachgelagerte Gesetze Bundesgesetz
v. 20. März 2009, Kommission zur
- 4 -
Verhütung von Folter CH - Bundesverfassung Menschenwürde Art 7 Recht auf Leben und persönliche Freiheit Art. 10 Schutz der Privatsphäre Art. 13 Glaubens- u. Gewissenfreiheit Art. 17 Meinungs- u. Informationsfreiheit Art. 16 Medienfreiheit Art. 17 Versammlungsfreiheit Art. 22 Vereinigungsfreiheit Art. 23 Schutz vor Ausweisung, Auslieferung, Ausschaffung Art. 25 Eigentumsgarantie Art. 26 Rechtsgleichheit u. Diskriminierungsverbot Art. 8 Schutz vor Willkür u. Treu u. Glauben Art. 9 Verfahrensgarantien: Rechtsverweigerung, Recht auf rechtliches Gehör, Rechtsanspruch auf unentgeltliche Rechtspflege Art. 29 sowie die Artikel 29a, 30-33 Internationale/Universale Menschenrechte: Resolution 217 A (III) vom 10.12.1948 Artikel 3 Jeder hat das Recht auf Leben, Freiheit und Sicherheit der Person. Artikel 5 Niemand darf der Folter oder grausamer, unmenschlicher oder erniedrigender Behandlung oder Strafe unterworfen werden. (4) Niemand darf wegen privaten Schulden in Haft genommen werden. Niemand darf nur deswegen in Haft genommen werden, weil er nicht in der Lage ist, eine vertragliche Verpflichtung zu erfüllen. (5) Niemand darf mit Gewalt oder Gewaltandrohung gegen sich selbst aussagen (verbotene und nichtige Vernehmungsmethoden). Artikel 8 Jeder hat Anspruch auf einen wirksamen Rechtsbehelf bei den zuständigen innerstaatlichen Gerichten gegen Handlungen, durch die seine ihm nach der Verfassung oder nach dem Gesetz zustehenden Grundrechte verletzt werden. Artikel 9 Niemand darf willkürlich festgenommen, in Haft gehalten oder des Landes verwiesen werden.
Artikel 17 1. Jeder hat das Recht, sowohl allein als auch in Gemeinschaft mit anderen Eigentum innezuhaben. 2. Niemand darf willkürlich seines Eigentums beraubt werden. Artikel 30 Keine Bestimmung dieser Erklärung darf dahin ausgelegt werden, daß sie für einen Staat, eine Gruppe oder eine Person irgendein Recht begründet, eine Tätigkeit auszuüben oder eine Handlung zu begehen, welche die Beseitigung der in dieser Erklärung verkündeten Rechte und Freiheiten zum Ziel hat. Strohmann-Prinzip - Klausel Ein Strohmann ist eine juristische, tote Person, die mittels „Geburtsurkunde“ geschaffen wurde um vom Strohmann die Zahlung von Strafen und nicht existenter Kosten zu fordern. Darüber wurde ich bei Geburt nicht informiert und das hat nichts mit mir als biologischem Mensch zu tun! Hiermit lehne ich als biologischer, auf natürliche Weise auf die Welt gekommene Mensch die Vertretung und die Haftung für diesen Strohmann ab! Vereinbarung (Stand: Mai 2015) Jeder, der meine oben genannten Grund- und Menschenrechte gegen meinen Willen verletzt, willigt ein mir einen Schadensersatz in Höhe von 5 Millionen Schweizer Franken (in Worten fünf) in verfassungsgemässer Währung (Bargeld, Gold) zu zahlen, zahlbar sofort
netto!
.. & ... geistig-sittliche Wesen Without Prejudice UCC 1-308
Common Law Das ITCCS-Team: Common Law – entspricht: Gerichtshöfen Allgemeingültiger Gesetzgebung Das Gesetz von Natürlicher Freiheit und die Grundlage von Gerichtshöfen Allgemeingültiger Gesetzgebung: Erste Grundpfeiler 1.Jeder Mann, jede Frau und jedes Kind ist naturgemäss von Geburt an frei, unabhängig und gleich. Jedes Individuum ist mit einem ihm innewohnenden Wissen ausgestattet,wodurch er erkennt was richtig und wahr ist. Demnach kann keine Person weder einer anderen Person noch einer äusseren Autorität untergeordnet werden, denn durch die naturgemässe angeborene Weisheit und Freiheit ist jedes Individuum innerhalb der grösseren Gemeinschaft von gleichwertigen Indivi-duen in sich vollkommen und ohne Fehl. 2.Diese persönliche Souveränität ist eine Widerspiegelung des viel weitgefassteren Natürlichen Gesetzes. Laut diesem Gesetz
- 5 -
ist alles Leben naturgemäss unteilbar und zum Gemeinnutz geschaffen zum Zwecke des Fortbestands aller. In jeder gerechten Gesellschaft gibt dieses gemeinsame
Gut, woran jeder teil hat, jedem das unveräusserliche Recht, gemeinschaftlich eine eigene Regierung zu bilden, sich ge-gen jegliche Form von Tyrannei und Gewalt zur Wehr zu setzen auch dann, wenn dies durch eine äussere Autorität geschieht.
Jede Autorität, die ungerecht und willkürlich handelt, ohne die freie und nicht-erzwungene Zustimmung des Volkes, büsst automatisch das Recht zu regieren ein und kann mit legalen Mitteln gestürzt werden.„Eine ungerechte Regierung ist nicht Regierung durch Tyrannei“ – Plato 3. In diesem Natürlichen Gesetz wurzelt das selbstverständliche Allgemeingültige Gesetz. Das Anliegen dieser Gesetzgebung ist der Schutz der angeborenen Freiheit und Souveränität der Männer und Frauen in der Gemeinschaft durch die Aufrechterhaltung von Gerechtigkeit und Frieden innerhalb der Gemeinschaft. Das Allgemeingültige Gesetz erlangt seine Rechtsgültigkeit durch das Volk selbst, das mit der Kompetenz ausgestattet ist zu wissen, was recht ist und zwischen Recht und Unrecht zu unter-scheiden weiss. Dieses Kompetenzbewusstsein findet seinen Ausdruck durch das Schöffengericht beste-hend aus zwölf freigewählten Personen, die gemäss Allgemeingültigem Gesetz in einem Allge-meingesetzlich Gültigen Gerichtshof als letzte richterliche Instanz und Autorität fungieren. 4. Rückblickend auf die historische Entwicklung entstand die Allgemeingültige Gesetzgebung in Europa – zuallererst in England nach der Normannischen Eroberung – als eine Art Bollwerk gegen das willkür-liche Regieren der Eliten vor allem durchMonarchen und Päbste. Die Autorität dieser Eliten war von vorne herein eine widernatürliche Übernahme. Ihre Rechtfertigung wurde durch Kriege und gewaltsame Eroberung begründet statt durch das göttliche Gesetz des Friedens und der Gleichheit. Am stärksten blühte das Gesetz der Eliten während des Römischen Imperiums und später durch den Ableger dieses Imperiums – die Kirche Roms.
5.Ein derart durch Eroberung gerechtfertigtes Regieren unter der Leitung von Päbstlichen und Königlichen Eliten mündete in ein legales Rechtssystem, das wir als Ziviles Recht kennen. Dieses Rechtsverständnis ging auch einher mit dem Glauben, dass Männer und Frauen keineswegs mit der Kompetenz von Selbst-bestimmung und innewohnendem Weisheit ausgestattet sind. Daher wurde propagiert, dass alle Auto-rität und Gesetz von aussen komme. Gesetze wurden in Statuten festgesetzt und vom Regierenden auf-gezwungen – ein Pabst, ein Monarch oder eine Regierung. Es istein Rechtssystem, das sich aus der Philo-sophie von Aristoteles entwickelte und dem Römischen Gesetz von Besitz genüge tat. Ein System wonach alles Existierende
als getrennt angesehen wird. Menschen werden als Leibeigene und als Besitz betrach-tet. Sie besitzen keine angeborenen Freiheiten. Der Mensch war in jeglicher Hinsicht versklavt, isoliert von der Welt, die allen gemeinsam gegeben wurde. Der Menschwurde eingegliedert, kategorisiert und erhielt eingeschränkte „Freiheiten“ (freithorns oder der Genuss von Privilegien als Sklaven), welche Statuten definierten und einschränkten und die die herrschende Klasse erließ. 6.Daher sind Allgemeingültige Gesetzgebung und Ziviles Recht fundamental unversöhnliche Gegensätze. Eine Annäherung ist nicht möglich, da beide in völlig entgegengesetzte Vorstellungen von Hu-manität und Gerechtigkeit wurzeln: die Allgemeingültige Gesetzgebung betrachtet das Leben als ein
- 6 -
Geschenk, an dem alle gleichermassen gemeinsam teilhaben, wohingegen die Zivile Ge-setzgebung das Lebenals an Bedingungen geknüpftes Privileg ansieht, wonach die Mensch-heit als ein Volk von Sklaven gehalten wird. Entsprechend funktionieren Regierungen gemäss (Statuten) des Zivilen Rechts, welches eine Allgemeingültige Gesetzgebung als Ganzes durch das Regieren mittels willkürlich agierenden Richtern und Gerichtshöfen verzerrt und ignoriert. 7. Die extremste Ausformung von elitär gestütztem Zivilem Recht findet sich in sogenanntem Päbstlichen oder Kanonischem Gesetz, wonach
die Kirche in Rom als einzige legitime Autorität auf Erden definiert wird und alle anderen Gesetze, Völker und Regierungen haben sich diesem Gesetz des Kanons unterzuordnen. Kanonisches Gesetz ist selbstverwaltend, ausserhalb jeglicher Rechenschaftsablegung und wennüberhaupt nur sich selbst gegenüber Rechenschaft schuldig. Ungeachtet der christlichen Rhetorik ist der Römische Katholizismus ein neo-heidnischer Kult basierend auf den abgelebten Verehrungsvorschriften des Römischen Kaisers, die aus dem 3. Jahrhundert stammen bekannt unter dem Namen Sol Invictus, wonach ein Regent, der
den Titel „Gott und Herr“ (Deus et Dominus) trägt über Himmel und Erde regiert. Es dürfte daher keinen überraschen, dass
ein solches Kon-strukt der Tyrannei mehr als jede andere Macht die Schuld an den Kriegen, Völkermord, Eroberungen und Mord der Menschheitsgeschichte trägt, und dass diese Macht bis heute die alleinige und grösste Bedrohung sowohl für eine Allgemeingültige Gesetzgebung als auch für die menschliche Freiheit darstellt. 8.Die Kirche von Rom war die erste und ist die älteste Körperschaft auf unserem Planeten: eine legale recht-liche Institution geschaffen, um die Tyrannei zu schützen, welche die Eliten von der individuellen Haftung und Verantwortlichkeit für Verbrechen und Eroberungen, die sie ausführen, freistellt. Von Rom und von der Korporation Vatikanus aus hat sich die Ansteckungsgefahr ausgedehnt – eine Gefahr, die nun für unseren Planeten und unser aller Leben zu einer Bedrohung geworden ist. Denn von jeglicher Rechen-schaft freigestellt hat
die korporative Oligarchie in allen Sektoren unserer Gesellschaft unsere Freiheit unterwandert und alles Leben wurde dem Profit – und Machtgier untergeordnet. 9.Genau in diesem Moment während die korporative Eroberung weiter vorstösst, um
die Menschheit zu unterjochen, beginnt eine Gegenbewegung sich zu erheben, die den göttlichen Sinn durch das Einführen von einer Allgemeingültigen Gesetzgebung wieder Geltung verschaffen möch-te. Die Erde und die Menschheit soll in ihrem natürlichen Seinszustand als zusammengehörende Einheit zurückversetzt werden. Diese Bewegung wurde biblisch und prophetisch geweissagt und beschrieben als die Zeit, in der alle Menschen ihre natürliche Gleichheit wiedererkennen. Frei von jeder Teilung, jeglichem Privileg und jegliche Unterdrückung, damit sie untereinander und mit allem Geschaffenen in Harmonie leben. 10.Diese Erneuerung der Menschheit im Sinne Gottes und beginnt mit der aktiven Abschaffung jeglicher existierende Autorität und Institutionen, die vom Römischen Zivilgesetz herrühren. Sie werden von einer neuen Regierungsform, die der Rechtsprechung einer Allgemeingültigen Gesetzgebung Rech-nung trägt, ersetzt werden. Die Schaffung dieser neuen Form
von Autorität, die dem Natürlichen Gesetz entspringt unter der eine befreite Menschheit gedeihen kann ist das fundamentale und vorrangige Anliegen der Gerichtshöfe einer Allgemeingültigen Gesetzgebung. Quelle und weiter: Das ITCCS-Team http://itccs-deutsch.blogspot.co.at/ Ein Schulungshandbuch für die Gemeinde:
- 7 - Vorlage für Gericht Eid – allgemein gültige Rechtsprechung
Aufklärung über die UCC–Registratur (Uniform Commercial Code)
Uniform Commercial Code (UCC) zu Deutsch: Einheitliches Handelsgesetzbuch. UCC war eine von der Kirche nach dem Römischen Recht geschaffene Registratur, mittels derer weltweites Handelsrecht etabliert wurde. Damit war gesichert, dass Körperschaften untereinander Geschäfte betreiben konnten. Der UCC ist die Bibel des Handels. Es beschließt präzise die Art des internationalen Austausches von Gütern und Leistungen. In der Tat dreht sich das gesamte Handelssystem um die UCC-Registratur. Leider wird die UCC-Registratur nicht im Jurastudium gelehrt, es verbleibt im Herrschaftsbereich der Unternehmen und ihrer Funktionäre, die die Angestellten ihrer Rechtsabteilungen lediglich in die für sie erforderlichen UCCInformationen einweihen, um das Wissen dieses wichtigen Mechanismus „im Haus“ zu belassen. Warum gilt die UCC-Registratur nicht nur in Amerika sondern auch für Sie und Ihre Institution? Wie Sie gerade erfahren haben ist die UCC-Registratur dafür da, dass Körperschaften international Handel betreiben dürfen. Zu dem internationalen Handel gehören z.B. auch alle Finanzämter, Gemeinden, sogenannte Regierungen und alle Banken... da alle Banken sowieso den Zentralbanken unterliegen und die Zentralbanken unterliegen wiederum der Federal Reserve Bank, die bekanntlich in den USA ist. Viele unwissende Unternehmer und Geschäftsführer beziehen sich immer auf das hier in Deutschland geltende Handelsregister, wissen aber nicht, dass das Handelsregister ebenfalls auf dem UCC basiert.
Im Übrigen ist die sogenannte SCHWEIZ, mit der D-U-N-S® Nummer 483439811 auch nur ein Unternehmen namens „Schweizerische Eidgenossenschaft“, jetzt „Eidgenössische Bundesverwaltung" und immer noch (02.02.16) Evelin Widmer als Hauptverantwortliche eingetragen.
Hier eine kleine Liste der (Länder) Unternehmen die sich ebenfalls nach dem UCC richten: Austria, Finland, Netherlands, Germany, Greece, Belgium, Sweden... um nur einige wenige aus dem europäischen Raum zu nennen.
Woran erkennt man, dass eine Körperschaft (Bank, Regierung etc.) sich an die UCC-Registratur halten muss? Alle Körperschaften die internationalen Handel betreiben und sich an den UCC halten müssen, sind mit einer D-U-N-S® Nummer registriert. D-U-N-S ist die Abkürzung für: Data Universal Numbering System. Eingeführt von Dun & Bradstreet (D&B)
ebenfalls aus der USA. Diese D-U-N-S Nummer ist die eindeutige Identifizierung eines Unternehmen. Eine D-U-N-S Nummer wird ausschließlich an gewerbliche Personen oder Unternehmen vergeben. Diese DU-N-S Nummer wird unter anderem auch von der Europäischen Kommission verwendet.
Was ist neu in der UCC-Registratur und warum schreibe ich Ihnen diese Nachricht? Wie oben schon erwähnt ist es meine Absicht, Ihnen in erster Linie als Mensch gegenüber zu treten. Daher ist diese Nachricht an Sie, auch als Mensch-zuMensch-Nachricht zu verstehen. Des Weiteren dient diese Nachricht als Aufklärung der neuen Gesetzeslandschaft.
Dieses Schreiben und die Beilagen gehen an das:
- Steueramt Buchs SG
- SVA St.Gallen
- Bundespräsident Johann Schneider Ammann Bundeshaus Ost
3003 Bern (Eingeschrieben)
- 8 -
Gefälschte Unterschriften vom sogenannten Betreibungsbeamten
beim angeblichen Rechtsvorschlag und ans Gericht gesendet.
(Ich habe immer alles ohne Unterschrift zurückgewiesen)
BIZ Strohmannkonto - Du bist Sklave und wirst gehandelt !?
BIZ - Bank für Internationalen Zahlungsausgleich in Basel - untersteht nicht der schweizer Gesetztgebung !!!
Wer anfängt selber zu handeln
wird nicht mehr gehandelt
Es war ja nur eine Frage der Zeit, bis es jedem auffällt das er mit seiner Geburtsurkunde an eine Firma verschenkt wird und seitdem als ein Konto geführt wird und an den internationalen Finanzmärkten gehandelt wird.
In den USA ist es schon eine ältere Bewegung sich seiner Strohmann-Konten zu bemächtigen.
Nun seit dem Video: klick ist dies auch in D-A-CH zu einem Trendsport geworden
hier zur wichtigen PDF: klick
Es kursiert diese Anleitung durch das Netz.
Da es nicht verifiziert werden kann ist alles auf eigene Verantwortung umzusetzten.
Ist es nicht eine Schande und ein Armutszeugnis, als Humane Ressource von den ach so lieben Eliten behandelt zu werden?
Scheinheilige Obrigkeit mit Scheinheiligen Schaupielern und Scheingerichten.
Die Welt ist ein Schein.
BIC und IBAN des Strohmannkontos
Gehe auf http://www.iban.de und berechne daraus eine IBAN
Land: Schweiz (weil die BIZ dort ansässig ist)
Bankleitzahl: 08899 (Bankleitzahl der BIZ)
Kontonummer: 0 + deine 11-stellige Steuernummer
Du erhälst eine IBAN dieser Art: CHxx08899 + 0 +
(xx ist eine Kontrollziffer, dafür hast du den IBAN-Rechner gebraucht.)
Dies ist die Kontonummer, deines Strohmannkontos, d.h. deiner Person, dort sind alle Steuern die du
Land: Schweiz (weil die BIZ dort ansässig ist)
Bankleitzahl: 08899 (Bankleitzahl der BIZ)
Kontonummer: 0 + deine 11-stellige Steuernummer
Du erhälst eine IBAN dieser Art: CHxx08899 + 0 +
(xx ist eine Kontrollziffer, dafür hast du den IBAN-Rechner gebraucht.)
Dies ist die Kontonummer, deines Strohmannkontos, d.h. deiner Person, dort sind alle Steuern die du
jemals gezahlt hast, gutgeschrieben.
Stelle alle Lastschriftverfahren Deiner Versicherungen, Kfz-Steuer usw. auf dieses Konto um, und schwupps,
Stelle alle Lastschriftverfahren Deiner Versicherungen, Kfz-Steuer usw. auf dieses Konto um, und schwupps,
schon wird alles vom Strohmannkonto bezahlt ! **Das funktioniert WIRKLICH !**
Teile dazu deinen Versicherungen die obige IBAN und den BIC/SWIFT Code: BISBCHBBXXX als dein
Teile dazu deinen Versicherungen die obige IBAN und den BIC/SWIFT Code: BISBCHBBXXX als dein
Konto für den Einzug mit.
Aus den weiten des Internets erhalten
Aus den weiten des Internets erhalten
💥 Zugeklebten Briefumschlag öffnen mit Gefrierschank/Gefrierfach 💥